수면무호흡증 예측시 연속적인 스마트워치 수면추적의 유용성
Usefulness of Continuous Sleep Tracking by Smartwatch in Predicting Sleep Apnea
Article information
Trans Abstract
Background and Objectives
The purpose of this study was to determine whether smartwatch (SW) data measured over several nights at home could effectively predict obstructive sleep apnea (OSA).
Subjects and Method
Patients suspected of having OSA and scheduled for polysomnography (PSG) were asked to wear a SW at home for 7 nights before undergoing PSG. After obtaining the SW data, it was compared and analyzed with the PSG.
Results
A total 59 people including 42 OSA patients and 17 normal control were included in the study. The sensitivity and specificity for predicting apnea-hypopnea index (AHI) ≥5/h using the SW lowest oxygen saturation of 85% were 85.7% and 70.6%. The area under curve (AUC) for the receiver operating characteristic (ROC) curve was 0.901 (p<0.001). The sensitivity and specificity for predicting AHI ≥15/h using the SW lowest oxygen saturation of 82% were 80.6% and 67.9%. The AUC for the ROC curve was 0.866 (p<0.001).
Conclusion
This study showed that the OSA can be predicted fairly accurately using data obtained from wearing a SW for several nights in an environment similar to daily life rather than a hospital laboratory.
서 론
전 세계 성인 인구 중 30세 이상 69세 이하에서는 9억 3천 6백만 명이 폐쇄성 수면무호흡증(obstructive sleep apnea, OSA)을 앓고 있는 것으로 추정되고 있고, 이 중에서 4억 2천 5백만 명은 중등도-중증 OSA를 앓고 있다는 최근의 보고가 있다[1]. OSA는 고혈압의 독립적인 위험인자이며 심혈관질환 위험도를 증가시키고 신경인지기능 저하, 우울증, 삶의 질 저하 등을 초래할 수 있어 적절한 검사와 치료가 필요한 질환이다[2]. 병원수면검사실에서 검사자가 상주하는 수면다원검사가 OSA 진단에 최적의 표준으로 알려져 있지만, OSA의 높은 유병률을 고려하면 노동력과 높은 비용은 대량 선별검사나 추적검사를 시행하는 데 있어서는 장애물이 될 수 있다. 최근에는 의료영역에 정보통신기술을 융합하여 개인 건강과 질병에 맞춰 필요한 의료서비스나 건강관리서비스를 제공하는 디지털 헬스케어 산업의 발전으로 그동안 의료기관에서 축적되던 건강관련 데이터가 일상생활 공간으로 빠르게 이동하고 있다[3]. 스마트워치와 같은 웨어러블 전자기기들은 일상활동을 제한하지 않으면서 심박수나, 산소포화도, 코골이 소리 등과 같은 생체신호들을 측정하고 이를 개인 스마트폰에 연동하여 언제 어디서나 데이터의 분석이 가능하여 개인의 건강에 대한 불안을 감소시키고 진단의 절차를 간소화시킬 수도 있다[3].
이전 연구에서 안드로이드와 아이폰 기반의 두 종류의 스마트워치를 착용한 채로 하룻밤 수면다원검사를 시행하였고, 이를 통해 스마트워치의 최저산소포화도 매개변수는 수면무호흡증을 예측하는 데 있어 상당한 정확도를 가짐을 보여주었다[4]. 그러나 스마트워치의 장점이 병원검사실에서 하룻밤 측정이 아닌 언제 어디서나 생체신호를 편한하게 측정할 수 있다는 점을 고려하면 보다 자연스러운 방식으로 생체신호 데이터를 측정 및 분석하는 것이 보다 현실적인 개인의 수면 건강 데이터를 대표할 수 있을 것이다. 이번 연구의 목적은 병원이 아닌 집에서 측정한 스마트워치 데이터가 OSA를 효과적으로 예측할 수 있는지 알아보는 것이다.
대상 및 방법
2022년 12월부터 2023년 7월까지 코골이와 수면무호흡이 의심되어 본원 수면센터를 방문하여 수면다원검사를 시행한 환자를 대상으로 하였다. 환자들에게는 수면다원검사 시행 전에 약 7일간 스마트워치(Gallaxy Watch 4, Samsung Electronics Co., Seoul, Korea)를 나누어 주고 이를 환자들의 스마트폰과 연동시켰다. 스마트폰의 삼성 건강앱을 통해 데이터 확인방법을 환자들에게 설명해주고 스마트워치를 손목에 꼭맞게 착용하는 방법까지 설명한 후 집에서 수면시 착용하게 하였다. 1주 뒤 병원을 방문하여 스마트워치를 반납하게 하고 환자들의 핸드폰에 연동된 수면데이터를 확인한 후 스마트워치는 포맷시켰다. 제외기준으로는 1) 19세 미만, 2) 손목에 색소성 병변이나 상처 또는 문신이 있는 경우, 3) 수면 데이터가 3일 이하만 기록된 경우이다. 정상 대조군으로는 연구에 참여한 환자 중에서 수면다원검사상 시간당 무호흡저호흡지수(apnea-hypopnea index, AHI)가 5 미만인 경우로 판정된 경우와 코골이가 없거나 또는 수면무호흡이 없는 지원자를 대상으로 시간당 무호흡-저호흡지수가 5 미만인 경우로 선발하였다. 여기에 포함된 모든 절차는 인간 대상 연구에 대해 기관 검토 위원회의 승인을 받았으며(IRB no. 2022-11-029) 헬싱키 선언 지침을 준수했다. 참여하기 전에 각 참가자로부터 서면 동의를 얻었다.
갤럭시워치4 산소포화도 측정
갤럭시워치는 손목 피부에 맞닿는 면에 반사형 맥박산소 측정기가 장착되어 있다. 반사형 맥박산소 측정기는 광용적 맥파(photoplethysmography) 신호를 25 Hz로 측정하여 1초 단위로 산소혈중농도를 계산하며 70%-100% 산소포화도 범위만을 수용하고 광용적맥파 신호의 품질이 낮은 경우는 제외한다. 광용적맥파 계측은 빛을 이용하여 혈관의 용적변화 시 나타나는 생체조직의 빛에 대한 반사율, 투과율 등의 특성을 이용하여 비침습적으로 맥박을 측정하는 방법이다[4]. 산소포화도가 90% 미만인 시간과 최저산소농도가 표시된다.
수면다원검사
수면다원검사는 Embla N7000 (Natus, Kanata, Ontario, Canada)을 이용하여 American Academy of Sleep Medicine (AASM)의 가이드라인에 따라 레벨 I 환경에서 진행되었다. 뇌전도(F3, F4, C3, C4, O1, O2), 심전도, 턱 및 다리 근전도, 기류 신호, 호흡 노력 신호, 심전도, 코골이 및 말초 산소 포화도를 측정하였다. 판독은 AASM 매뉴얼에 따라 수면 의학 전문가가 수행하였으며, AHI가 시간당 5 미만이면 정상, 5 이상 15 미만은 경증, 15 이상 30 미만은 중등도, 30 이상은 중증으로 정의하였다.
통계 분석
통계 분석은 IBM SPSS Statistics 25 (IBM Corp., Armonk, NY, USA)를 사용하여 수행하였다. 스마트워치와 수면다원검사 간의 일치도를 평가하기 위해 intraclass correlation coefficient와 Pearson 상관관계 테스트를 시행하였고, 수면무호흡증의 중증도에 따라 스마트워치로 측정한 최저산소포화도에 차이가 있는지 확인하기 위해 Kruskal-Wallis test를 시행하고 Mann-Whitney U test로 두 그룹간 사후분석을 시행하였다. 수면무호흡증 진단정확도를 확인하기 위해 receiver operating characterisitics (ROC) curve를 수행하고 절단값을 구하였다. 모든 통계적 유의성은 p값이 0.05 이하일 때로 판정하였다.
결 과
수면무호흡증으로 판정된 42명의 OSA 환자와 수면무호흡증이 아닌 것으로 판정되었거나 건강한 자원자로 구성된 대조군 17명으로 총 59명이 연구에 포함되었다. 스마트워치로 연속측정한 날은 6.6±2.1일이었다. OSA 환자군과 대조군의 인구통계 및 수면다원검사 결과는 Table 1에 기술하였다. OSA 환자들이 대조군에 비해 나이가 많았고(p=0.046), 체질량지수(p=0.020)와 목 둘레길이(p=0.038)가 높았으며, 고혈압(p=0.016) 유병률도 높았다. 또한 OSA 환자들이 대조군에 비해 유의하게 높은 AHI (30.8±20.7/h vs. 2.7±1.5/h), 낮은 최저산소포화도(75.6%±9.4% vs. 91.1%±2.1%)를 보였다(Table 1). 스마트워치로 측정한 최저산소포화도의 일별변동성은 OSA 환자군에서 크게 나타났으며 대조군에서는 비교적 작게 나타났다(Fig. 1).
Comparison of day-to-day variations in lowest oxygen saturation (SpO2) measured by a smartwatch between obstructive sleep apnea (OSA) patients (A) and controls (B).
스마트워치의 수면매개변수들과 수면다원검사값과 일치도와 상관관계 비교
Table 2는 스마트워치로 1주간 수면추적한 결과, 깊은수면 비율(N3), 렘수면비율(R), 산소90%이하 시간, 최저산소포화도 이렇게 4가지의 수면지표를 수면다원검사 지표와 일치정도를 비교한 결과이며 대표값으로는 중앙값을 사용하였다. 4가지 스마트워치 수면지표 중에서 깊은수면비율, 렘수면비율, 산소90%이하 시간은 수면다원검사 결과와 비교시 일치도가 유의하게 낮았으며, 최저산소포화도 지표만이 수면다원검사와 유의한 일치도를 보였다(Table 2).
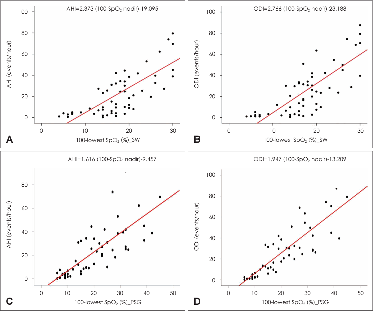
스마트워치로 측정한 최저산소포화도와 AHI와 ODI와의 상관관계
최저산소포화도 중앙값과 수면다원검사 결과인 AHI 및 oxygen desaturation index (ODI)와의 상관관계 분석시, AHI와는 상관계수값 0.763 (p<0.001)으로, ODI는 0.782 (p<0.001)로 ‘high correlation’을 보였으며(Table 3), 이를 통해 AHI와 ODI의 선형회귀식을 도출할 수 있었다(Fig. 2). 수면다원검사의 최저산소포화도와 AHI와 ODI와의 상관관계 분석시에도 위와 유사한 결과를 보였다(Table 3 and Fig. 2).
Pearson correlation analysis between median SpO2 nadir over 1 week of smartwatch and AHI and ODI from PSG
OSA 중증도에 따른 스마트워치 최저산소포화도 비교
수면다원검사의 AHI 결과에 따라 정상, 경증, 중등도, 중증 수면무호흡증으로 분류를 하고, 각 그룹마다 스마트워치 최저산소포화도 중앙값을 구하였고, 그룹별 차이가 있는지 분석하였다(Table 4). 대조군, 경증, 중등도, 중증 군의 최저산소포화도 중앙값은 91%, 83%, 81%, 77%로 각각 나타났으며, 대조군과 OSA군은 유의한 차이를 보였으며, 경증 OSA군만이 중증 OSA군과 유의한 차이를 보였다(Fig. 3).
스마트워치의 OSA 진단정확도
스마트워치로 측정한 최저산소포화도의 중앙값을 이용하여 수면무호흡증을 진단하기 위해 민감도와 특이도의 합이 가장 크게 나오는 값을 절단값으로 정하였으며, 다만 특이도가 너무 낮은 경우는 제외하였다. 스마트워치의 최저산소포화도 85%를 절단값으로 하여 OSA 여부(AHI≥5/h)를 판정하였을 때, 민감도 85.7%, 특이도 70.6%였으며, ROC-AUC값이 0.901로 매우 뛰어난 정확도를 보여주었으며(p<0.001), 절단값을 82%로 하여 중등도 이상 OSA (AHI≥15/h)를 판정하였을 때, 민감도 80.6%, 특이도 67.9%로 AHI≥5/h 판정시 보다는 약간 정확도는 감소하는 것으로 나타났다(Table 5).
고 찰
이번 연구를 통해서 병원검사실이 아닌 일상생활과 거의 비슷한 환경, 환자들의 집에서 며칠 밤을 스마트워치를 착용한 채로 얻은 데이터를 이용하여 OSA를 상당히 정확하게 예측할 수 있음을 보여주었다. 이전 우리의 연구에서는 병원검 사실에서 스마트워치를 착용한 채로 하룻밤만을 측정하였으며, 최저산소포화도 절단값을 AHI≥5/h 판정시 88%로, AHI≥15/h 판정시 86%로 정했을 때 상당한 정확도를 가질 수 있음을 보여주었다[4]. 다른 연구에서도 스마트워치를 이용해서 AHI나 ODI를 추정해서 OSA를 예측하려는 시도들이 있었다[5,6]. 그러나 대부분은 병원검사실에서 스마트워치를 착용한 채로 수면다원검사를 시행하거나 또는 가정용 수면무호 흡증 검사기(home sleep apnea test)를 집에서 동시에 착용한 채 하룻밤을 통해 얻은 데이터를 분석한 것들이다[5,6]. 그러나 이러한 결과들은 검사자가 수면을 감시해야 하고, 병원이라는 공간에서, 또는 몸에 불편한 여러 센서들을 부착한 채로 겨우 하룻밤만을 측정한 결과들이기 때문에 이 데이터들이 평상시의 수면을 대변할 수 있을지에 대해서는 우려가 따를 수밖에 없다.
하룻밤 병원검사실에서 측정한 이전 우리 연구 결과와 이번 결과를 비교해보면, 첫 번째로 최저산소포화도 OSA 예측 절단값이 연속측정할 때가 하룻밤에 비해 더 낮게 나왔다. AHI≥5/h 판정시, 하룻밤은 88%, 연속은 85%이며, AHI≥ 15/h 판정시, 하룻밤은 86%, 연속은 82%로 약 3%-4% 절단값의 하락을 보였다[4]. 집에서는 병원검사실보다는 전체 수면 시간이 길어지게 되고 이에 동반하여 렘수면시간이 길어질 수 있어 산소포화도가 더 낮게 나올 수 있다. 또한 음주를 하였거나 육체적으로 피로할 경우에 근육긴장도가 더 떨어졌을 수도 있으며, 검사자가 없기 때문에 스마트워치를 손목에 꼭 맞게 착용하지 않고 헐거워져서 발생한 오차일 수도 있다. 두 번째로는 연속측정시 민감도와 특이도는 하룻밤에 비해 오히려 증가하였다(AHI≥5/h 판정시, 하룻밤과 연속은 민감도 81.6% vs. 85.7%, 특이도 69.7% vs. 70.6%였으며, AHI≥ 15/h 판정시, 하룻밤과 연속은 민감도 70.9% vs. 80.6%, 특이도 66.7% vs. 67.9%였다) [4]. 또한, 스마트워치로 측정한 산소포화도의 일별 변동성이 수면무호흡증 환자에서는 정상보다 높게 나타나기 때문에(Fig. 1) 일회성의 측정결과만을 가지고 수면무호흡증 여부를 예측시에는 상당한 오차가 발생할 가능성이 있다. 실제 병원 진료실 상담시에 자신의 스마트워치의 수면데이터를 가지고 상담하는 경우가 점차 늘어나고 있어, 진료실의 의사들도 이러한 기기의 데이터를 어느 정도 평가하고 상담할 수 있어야 하므로 이번 연구가 이러한 근거가 될 수 있다고 생각한다.
피트니스 트래커(fitness tracker), 스마트워치, 스마트반지와 같은 다양한 웨어러블 기기들이 심박수나, 산소포화도, 코골이 등과 같은 생체신호들을 측정하고 이를 개인 스마트폰에 연동하여 언제 어디서나 데이터의 분석이 가능하여 의사의 처방이 필요없이 개인이 자신의 수면을 편안하게 자가 모니터링 또는 추적하여 수면 관련 상태를 점검 및 개선할 수 있도록 도와준다[7]. 웨어러블 기기의 출현으로 산소 측정 기반 분석이 보편화되었으며 산소포화도 측정기는 일상 생활 활동, 수면 중, 실험적으로 유발된 저산소증을 포함한 다양한 조건에서 저산소증을 상당히 정확하게 감지하는 것으로 나타났다[6,8,9]. 특히, 이 중에서 스마트워치는 시계, 피트니스, 패션 등의 목적으로도 많이 사용되어 다른 웨어어블 기기에 비해 보급률이 높기 때문에 스마트워치를 이용한 수면무호흡증 예측은 많은 사람들이 쉽게 접근할 수 있다는 장점이 있다. 우리 연구에서처럼 실생활 스마트워치의 최저산소포화도의 중앙값은 AHI와 ODI와 상당한 상관관계를 보여(R2=0.582, 0.611) 스마트워치의 최저산소포화도 매개변수는 수면무호흡증을 예측하는 데 유용한 변수가 될 수 있을 것으로 보인다. 다른 연구에서는 3개의 많이 사용되고 있는 다른 회사의 스마트워치들의 산소포화도 측정정확도를 휴식상태와 저산소증을 유발하는 70%-100% 산소포화도 범위에서 측정하여 비교하였는데, 3개 스마트워치들은 표준측정값과 비교하여 상관계수 0.91-0.96의 매우 높은 상관관계와 모두 4% 이내의 오차범위를 보여주어 스마트워치가 산소포화도를 매우 정확하고 일관성있게 측정할 수 있는 웨어러블 장치임이 증명되었다[9].
다만, 이러한 스마트워치와 같은 웨어러블 장치는 센서 수를 현저히 줄일 수 있어 간편하고 언제 어디서나 측정할 수 있다는 장점이 있지만 OSA를 배제하는 능력이 감소할 수 있다[10]. 센서수의 감소는 사용자에게는 편리함을 주지만, 정확도의 감소와 OSA 이외의 수면질환을 감별하지 못하고, 특히 중추성 무호흡과 폐쇄성 무호흡을 구분하지 못하거나, 산소불포화가 없는 저호흡을 찾지 못하는 문제점도 남아 있다. 따라서 아직까지는 동반 질환이나 다른 수면장애의 위험이 없고 중등도에서 중증 OSA에 대한 근거가 충분한 임상적 의심이 있는 경우에만 유용할 것으로 생각된다.
Acknowledgements
This paper was supported by Eulji University in 2023.
Notes
Author Contribution
Data curation: Min Woo Kim. Formal analysis: Min Woo Kim, Dong Hun Han, Min Soo Kang. Writing—original draft: Myoung Su Choi.
