한국어판 인공와우 삶의 질 평가도구의 개발 및 타당도 검증
Development and Validation of the Korean Version of the Cochlear Implant Quality of Life Questionnaire
Article information
Trans Abstract
Background and Objectives
This study aimed to develop a Korean version of the Cochlear Implant Quality of Life (K-CIQOL) and to evaluate its validity and reliability for use in adult cochlear implant (CI) users.
Subjects and Method
The K-CIQOL was developed and validated in two stages. In the development stage, the original English version of the CIQOL was translated into Korean, culturally adapted, and content-validated, resulting in two forms: the K-CIQOL-35 Profile and the K-CIQOL-10 Global. In the evaluation stage, 54 adult CI users completed the K-CIQOL twice with a two-week interval. Construct and convergent validity were assessed, and reliability was examined through internal consistency and test-retest reliability.
Results
The K-CIQOL-35 Profile consisted of six domains measured on a 5-point Likert scale, explaining 77.63% of the total variance. The K-CIQOL-10 Global demonstrated a single- factor structure, accounting for 66.51% of the variance. Both forms showed good convergent validity with the Korean Spatial Hearing Questionnaire. Internal consistency was high (Cronbach’s α ≥0.91), and test-retest reliability was excellent (ICC ≥0.96) for both instruments.
Conclusion
The K-CIQOL-35 Profile and K-CIQOL-10 Global are reliable and valid tools for assessing the quality of life in Korean adult CI users, supporting their application in both clinical and research settings.
서 론
인공와우(cochlear implant, CI)는 와우 내 삽입된 전극을 통해 청신경을 직접 자극하여 청각 정보를 전달하는 이식형 청각보조장치이다. 보청기만으로 충분한 청각 보상이 어려운 고심도 난청인이 조기에 CI를 이식받고 집중적인 청능훈련을 받을 경우, 긍정적인 청각 재활 효과를 기대할 수 있다[1-3]. 선행연구에 따르면 CI 이식 후 가청도(audibility), 어음 및 음악 인지, 공간 청취(spatial hearing), 이명, 삶의 질(quality of life, QOL) 등 여러 측면에서 유의한 개선이 확인되었다[4-8]. 그러나 QOL 향상 정도나 사회적, 심리적, 교육적 어려움의 개선은 CI 수술 시기, 잔존 청력, 난청 기간, 재활 경험, 개인의 기대 수준, 심리적 상태, 교육 및 사회적 환경 등 청각적, 비청각적 요인의 복합적 상호작용에 따라 다양하게 나타났다[7-10].
CI의 효과 평가는 주로 순음청력검사 및 어음청각검사와 같은 객관적 지표에 의존해 왔으나, 이러한 검사들은 CI 사용자가 일상생활에서 경험하는 불편함이나 심리사회적 어려움을 정량화하는 데 한계가 있다. CI 사용은 단순히 청력역치 개선이나 어음인지 향상뿐만 아니라, 개인의 정서적 안정, 대인관계, 자아 효능감, 직업 활동 변화 등 삶의 전반적인 영역에 복합적인 영향을 미친다[4-10]. 따라서 CI 사용자의 QOL을 주관적으로 평가하는 것은 임상 및 연구적 측면에서 매우 중요하다.
일반 인구집단의 QOL 평가에 사용되는 건강 관련 삶의 질(health-related QOL, HRQOL) 도구는 다양한 비교 분석이 가능하다는 장점이 있으나, 특정 질환 집단의 고유한 경험을 분석하는 데에는 한계가 있다. CI 사용자를 대상으로 36-Item Short-Form Health Survey, World Health Organization Quality of Life-Old Module 등 일반적 HRQOL 도구를 적용하여 전반적인 QOL 개선을 확인하였으나, 난청으로 인한 인지 기능과 사회, 정서적 변화 등 질병 특이적(disease-specific) QOL 변화를 충분히 반영하지 못하는 한계가 지적되었다[11-13]. 이러한 한계를 극복하기 위해 해외에서는 Nijmegen Cochlear Implant Questionnaire (NCIQ) [14], Cochlear Implant Quality of Life (CIQOL) [15-17] 등 CI 사용자에 초점을 맞춘 QOL 평가 도구가 개발되었다.
NCIQ [14]는 2000년에 개발된 CI 사용자 대상 QOL 평가 도구로, 6개 하위 영역의 총 60 문항으로 구성되어 있다. CI 사용자의 소리 인지 능력 및 심리사회적 상태를 포괄적으로 평가할 수 있으나, 문항 수가 많고 평가 소요 시간이 길어 임상에서의 활용에 제한이 있다. CIQOL의 경우 2017년부터 2022년까지 점진적인 연구 과정을 거쳐 개발 및 검증되었으며[15-19], 환자중심(patient-centered) 접근법으로 개발된 도구이다. CIQOL은 35개 문항으로 구성된 풀버전 CIQOL-35 Profile과 10개 문항으로 축약한 CIQOL-10 Global, 두 가지 버전을 포함하고 있어 임상 상황 및 연구 목적에 따라 선택적으로 사용할 수 있다[17].
현재 국내에는 CI 사용자의 QOL을 효율적으로 평가할 수 있는 표준화된 환자중심 도구가 부족한 실정이다. 이에 본 연구는 CIQOL 원도구의 한국어판(Korean version of the CIQOL, K-CIQOL)을 개발하고, 타당도와 신뢰도를 검증하는 것을 목적으로 하였다. 본 연구는 두 단계로 진행되었으며, 첫 번째 개발 단계(development phase)에서는 CIQOL 원도구를 번안하고 전문가 검토를 거쳐 K-CIQOL-35 Profile과 K-CIQOL-10 Global을 개발하였다. 두 번째 평가 단계(evaluation phase)에서는 국내 성인 CI 사용자를 대상으로 도구의 구성타당도, 준거타당도, 내적 일관성, 검사-재검사 신뢰도를 검증하였다. 본 연구를 통해 국내 CI 사용자의 QOL을 측정할 수 있는 도구를 제시함으로써, 향후 국내 임상 및 연구 현장에서의 활용 가능성을 제시하고자 한다.
대상 및 방법
본 연구는 K-CIQOL 도구의 개발과 신뢰도 및 타당도 검증을 위해 두 단계로 진행되었다.
개발 단계(Development phase)
개발 단계에서는 영어 버전 CIQOL 도구를 한국어로 번안하여 35개 문항으로 구성된 K-CIQOL-35 Profile과 10개 핵심 문항으로 구성된 K-CIQOL-10 Global을 개발하였다. 아래에서는 CIQOL 연구 도구의 개요와 한국어 문항 개발 과정을 기술하였다.
연구 도구(CIQOL) 개요
CIQOL [17]은 환자중심 접근법에 기반한 CI 특이적(CI-specific) QOL 평가 도구로, 미국 국립보건원(National Institute of Health)의 환자보고결과 측정정보시스템(Patient Reported Outcomes Measurement Information System, PROMIS) [20]과 C onsensus-based Standards for t he S election of Health Measurement Instruments [21] 지침에 따라 개발되었다.
개발 초기 단계에서는 성인 CI 사용자를 대상으로 포커스 그룹(focus group) 인터뷰를 실시하여, 성인 CI 사용자의 QOL과 관련된 주요 주제들을 도출하였다. 포커스 그룹에 참여하지 않은 성인 CI 사용자들을 대상으로 인지면접(cognitive interview)을 시행하여 문항의 명확성과 이해 가능성을 검증하였다. 이를 통해 CI 사용자의 경험을 기반으로 한 101개의 예비 문항 풀(item pool)을 도출하였다[15]. 이후 371명의 성인 CI 사용자를 대상으로 온라인 설문 조사를 실시하고, 요인분석 및 문항반응이론(item response theory, IRT) 분석을 통해 도구의 일차원적 구조(unidimensionality), 문항 간 지역 독립성(item local independence), 문항의 난이도 및 변별력 등을 확인하였다. 그 결과, 6개 하위 영역(communication, emotional, entertainment, environment, listening effort, social)의 81개 문항으로 구성된 문항은행(item bank)을 구축하였다[16]. 이후 문항의 난이도, 변별력, 모델 적합도 등을 고려해 최종적으로 35개 문항의 CIQOL-35 Profile과 10개 문항의 CIQOL-10 Global을 확정하였다[17]. 문항 개발 후 후속 연구들을 통해 해당 도구의 타당도와 신뢰도를 검증하였으며, 임상적 해석을 위한 기준 점수를 제시하였다[18,19].
도구의 승인 및 번역
한국어판 도구 개발을 위해 CIQOL 개발팀으로부터 사용 승인을 받았으며, 세계보건기구(World Health Organization)와 선행 연구[22,23]의 번역 가이드라인에 따라 다음의 다섯 단계(stage 1-5)로 번역 및 적합성 검토를 진행하였다.
첫 번째 순 번역 단계(stage 1: forward translation)에서는 CIQOL 도구의 개념을 충분히 이해하고 영어와 한국어에 모두 능통한(한국어가 모국어) 청각 분야 전문가 2명이 영문 CIQOL 문항을 한국어로 번역하였다. 이때 원문의 개념과 의미를 최대한 유지하면서 한국어 및 문화적 특성에 적합하도록 하였다. 두 번째 역번역 단계(stage 2: back translation)에서는 영어가 모국어인 이중언어 번역 전문가가 한국어 번역본을 영어로 역번역하였다. 이후 한국어와 영어 모두에 능통한 청각 전문가 3명이 원문과 역번역본을 비교하여 의미의 일치성과 용어의 적합성을 검토하였다. 세 번째 전문가 패널 평가 단계(stage 3: expert panel assessment)에서는 청각 분야 전문가 10명이 4점 Likert 척도로 문항별 내용타당도지수(content validity index, CVI)를 평가하였다(‘4점: 매우 적절하다’, ‘3점: 적절하다’, ‘2점: 적절하지 않다’, ‘1점: 전혀 적절하지 않다’). 분석 결과, 각 문항의 CVI 범위는 0.85-1.00, 평균 CVI는 0.96으로 내용타당도가 높은 것으로 나타났다[24]. 추가로, 국어국문학 전문가가 문항의 언어적 표현과 문화적 적합성을 검토하였다. 네 번째 예비조사 및 인지면접 단계(stage 4: pretesting and cognitive interviewing)에서는 난청 성인 3명과 임상 전문가 10명을 대상으로 예비조사 및 인지면접을 실시하였다. 이 과정에서 문항의 명확성, 응답 소요 시간, 문화적 민감성, 불쾌감 유발 여부 등을 확인하였고, 특별한 수정 의견은 보고되지 않았다. 마지막 단계(stage 5: final version and documentation)에서는 35개 문항으로 구성된 K-CIQOL-35 Profile과 10개 문항으로 구성된 K-CIQOL-10 Global을 최종 확정하였다.
평가 단계(Evaluation phase)
평가 단계에서는 국내 성인 CI 사용자를 대상으로 K-CIQOL-35 Profile과 K-CIQOL-10 Global의 타당도와 신뢰도를 검증하고자 하였다. 연구 대상, 평가 도구 및 절차, 자료 분석 방법은 다음과 같다.
연구 대상
본 연구에는 만 19세 이상의 성인 CI 사용자 54명(남성 17명, 여성 37명)이 참여하였다. 대상자의 평균 연령은 38.93세(standard deviation [SD]: 12.44, 연령 범위: 20-64세)였으며, 11명은 양측, 26명은 편측에 CI를 사용하고 있었다(오른쪽 귀: 17명, 왼쪽 귀: 9명). 나머지 17명은 CI 반대측 귀에 보청기를 사용하는 바이모달(bimodal) 사용자였다. CI 사용 후 500, 1000, 2000, 4000 Hz에서 측정한 평균청력역치는 우측 34.50 dB HL (SD: 10.52), 좌측 36.43 dB HL (SD: 14.46)이었으며, 평균 CI 사용 기간은 우측 23.88년(SD: 15.98), 좌측 24.31년(SD: 17.94)이었다.
모든 대상자의 전반적인 건강 상태는 EuroQol 5-Dimension 3-Levels (EQ-5D-3L) [25] 한국어판 도구를 통해 평가하였다. EQ-5D-3L은 이동성, 자기관리, 일상생활, 통증/불편감, 불안/우울의 5개 영역에서 건강 상태를 평가하며, 각 항목은 3점 척도(1점: ‘문제 없음’, 2점: ‘다소 문제 있음’, 3점: ‘심각한 문제 있음’)로 응답하게 되어 있다. 조사 결과, 54명 중 37명은 모든 영역에서 ‘문제 없음’으로 응답하였고, 17명은 ‘다소 문제 있음’을 보고하였다. 이 중 11명은 1개 영역(일상생활 1명, 통증/불편감 7명, 불안/우울 3명)에서 문제를 보고하였으며, 4명은 2개 영역, 1명은 3개 영역, 또 다른 1명은 4개 영역에서 ‘다소 문제 있음’을 응답하였다. 선행연구26)에서 제시된 가중치 산출 공식을 적용하여 산출한 EQ-5D-3L 지수는 1에 가까울수록 건강 상태가 양호함을 의미하며, 본 연구 대상자의 평균 EQ-5D-3L 지수는 0.92 (SD: 0.06, 범위: 0.72-0.95)였다.
모든 대상자는 연구 목적과 절차에 대해 충분히 설명을 듣고 자발적으로 연구 참여에 동의하였다. 설문 조사는 구글 설문 플랫폼(Google Forms)을 이용하여 온라인으로 시행하였으며, 검사-재검사 신뢰도 검증을 위해 모든 대상자는 2주 간격으로 동일한 설문에 두 차례 응답하였다. 설문 도중 문항의 이해에 어려움이 있거나 추가적인 설명이 필요한 경우 자유롭게 의견을 제시할 수 있도록 안내하였다.
평가 도구 및 절차
K-CIQOL
K-CIQOL-35 Profile은 원도구인 영문 CIQOL-35 Profile을 한국어로 번안한 것으로, 6개 하위 영역의 총 35문항을 포함한다. 각 하위 영역별 문항 수는 의사소통(communication) 영역 10문항, 감정(emotional) 영역 5문항, 여가생활(entertainment) 영역 5문항, 환경(environment) 영역 5문항, 청취 노력(listening effort) 영역 5문항, 사회생활(social) 영역 5문항으로 구성되어 있어, 성인 CI 사용자의 QOL을 다차원적 관점에서 평가할 수 있다. K-CIQOL-10 Global은 CIQOL-35 Profile의 35개 문항 중 핵심 10문항만을 선별하여 구성한 한국어판 축약형으로, 하위 영역 구분 없이 단일 점수로 전반적인 QOL을 평가한다.
응답자는 각 문항에 대해 5점 Likert 척도(1점: 전혀 그렇지 않다[never], 2점: 거의 그렇지 않다[rarely], 3점: 가끔 그렇다[sometimes], 4점: 자주 그렇다[often], 5점: 항상 그렇다[always])로 응답하였다. 역채점(reverse scoring)이 필요한 문항은 K-CIQOL-35 Profile에서 11개, K-CIQOL-10 Global에서 3개 포함되어 있다.
K-CIQOL-35 Profile은 하위 영역별 문항 수가 상이하므로, 단순 합산을 통한 원점수(raw score) 사용 시 영역 간 점수 비교에 한계가 있다. 예를 들어, 모든 항목에 ‘항상 그렇다(5점)’로 응답할 경우, 의사소통(10문항)의 원점수는 50점, 감정(5문항)은 25점으로 동일한 수준의 응답에도 점수 차이가 발생한다. 이에 따라 CIQOL 개발팀에서는 IRT에 기반한 변환점수(converted score) 사용을 권장하고 있다(https://medicine.musc.edu/departments/otolaryngology/researchscholarship/cochlear-implant/ciqol-user-manual) [27].
변환점수를 사용할 경우 모든 하위 영역의 점수가 0점(최저)부터 100점(최고) 사이의 점수로 산출되므로, 영역 간 비교가 가능하고 보다 정교한 해석이 가능하다. K-CIQOL-35 Profile과 K-CIQOL-10 Global 모두 점수가 0에 가까울수록 QOL이 낮고, 100에 가까울수록 QOL이 높음을 의미한다.
Korean version of Spatial Hearing Questionnaire
준거타당도 검증을 위해 청각 특이적(hearing-specific) 설문 도구인 Korean version of Spatial Hearing Questionnaire (K-SHQ) [28,29]을 활용하였다. K-SHQ는 양이청취(binaural hearing)가 요구되는 다양한 듣기 상황에서의 주관적 청취 어려움을 평가하는 도구로, 총 24개 문항으로 구성되어 있다. 24개 문항 중 ‘조용한 상황에서의 어음인지’에 관한 문항 4개(speech perception in quiet, 문항 1-4), ‘목표 어음과 소음이 정면에서 제시될 때의 소음 하 어음인지’ 문항 4개(speech perception in noise/target and noise from front, 문항 5-8), ‘목표 어음과 소음의 위치가 분리되어 제시될 때의 소음 하 어음인지’ 문항 4개(speech perception in noise/target and noise spatially separated, 문항 9-12), ‘위치변별’에 대한 문항 12개(localization, 문항 13-24)로 구성되어 있다.
대상자는 각 문항에 대해 0 (매우 어려움)부터 100 (매우 쉬움) 이내 숫자로 응답한다. 총점은 24개 문항의 평균값으로 산출하며, 하위 영역별 평균 점수를 별도로 산출하여 듣기 상황별 어려움 정도를 확인할 수 있다.
자료분석
수집된 자료는 SPSS version 25.0 (IBM Corp.)을 사용하여 다음과 같이 분석하였다. 첫째, 문항 분석을 위해 각 문항의 평균, 표준편차, 왜도(skewness), 첨도(kurtosis), 수정된 문항-총점 상관계수(corrected item-total correlation, ITC)를 산출하였다. 둘째, 도구의 구성타당도 검증을 위해 Bartlett 구형성 검정과 Kaiser-Meyer-Olkin (KMO) 검정 후 탐색적 요인분석(exploratory factor analysis)을 실시하였다. 셋째, 준거타당도(convergent validity) 검증을 위해 K-SHQ 응답과 K-CIQOL 변환점수 간 Pearson 상관분석을 시행하였다. 넷째, 도구의 내적 일관성 신뢰도는 Cronbach’s α 계수로 평가하였고, 검사-재검사 신뢰도 검증을 위해 Wilcoxon 비모수 부호순위 검정과 급내상관계수(intraclass correlation coefficient, ICC)를 산출하였다.
결 과
문항 분석
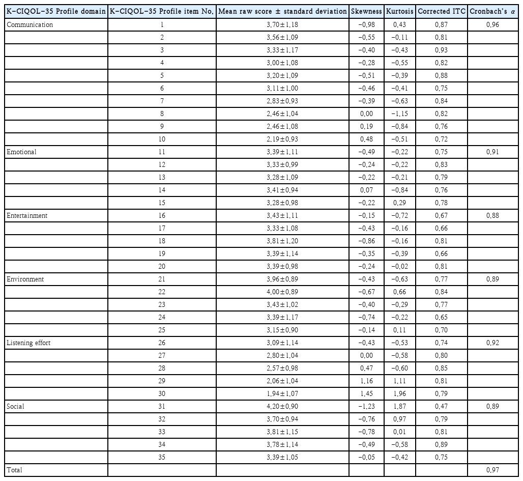
Table 1에 제시한 바와 같이 K-CIQOL-35 Profile의 35개 문항의 원점수는 1.94 (문항 30)에서 4.20 (문항 31) 범위 내에 분포하였다. 모든 문항의 왜도(범위: -1.23 - 1.45)와 첨도(범위: -1.15 - 1.96)는 정규성 가정(왜도 절대값 ≤2, 첨도 절대값 ≤10)을 충족하였다[30]. 수정된 ITC는 0.47에서 0.93 사이로 0.30 이상의 상관계수 기준[30]을 만족하였다. 35개 문항 중 가장 낮은 QOL 점수(평균: 1.94)를 보인 문항은 30번으로 소음 환경에서 익숙하지 않은 사람과의 대화 시 QOL이 낮게 나타났다. 반면, 가장 높은 QOL 점수(평균: 4.20)를 보인 문항은 31번으로, 사회적 활동 참여에 긍정적인 태도를 나타냈다.
Table 2에는 K-CIQOL-10 Global의 문항 분석 결과를 제시하였다. 10개 문항의 원점수는 1.94 (문항 9)에서 3.81 (문항 10) 사이였으며, 수정된 ITC는 0.51에서 0.85 범위로 나타나 모든 문항이 0.30 이상의 상관계수를 만족하였다. 따라서 두 도구 모두 적절한 변별력을 지니고 있음을 확인할 수 있었다.
구성타당도 검증
K-CIQOL-35 Profile의 탐색적 요인분석 결과는 Table 3에 제시하였다. 요인분석 전, 자료의 적합성을 검토하기 위해 KMO와 Bartlett 구형성 검정을 실시하였으며, KMO 표본적합성 측도값은 0.82로 문항 간 공통된 잠재요인이 존재함을 확인하였다. Bartlett 구형성 검정 결과 역시 유의하여(χ2=1926.37, p<0.001) 요인분석을 시행하기 적합하다고 판단하였다[31]. 35개 문항에 대해 탐색적 요인분석을 시행하였고, 회전 방법(rotation method)은 베리맥스(varimax) 직교 회전을 이용하였다. 요인 결정은 고유값(eigenvalue) 1 이상을 기준으로 하였으며, 문항의 요인적재량(factor loading) 절대값이 0.45 이상, 공통성(communality)이 0.40 이상인 문항을 선정하였다[31]. 그 결과, 총 6개의 요인이 추출되었으며, 전체 분산의 77.63%를 설명하였다.
K-CIQOL-10 Global의 탐색적 요인분석 결과는 Table 4에 제시하였다. 분석 결과, KMO 값은 0.86이었고 Bartlett 구형성 검정 결과 역시 유의미하였다(χ2=315.64, p<0.001). 단일 요인 구조가 확인되었으며, 해당 요인은 총 분산의 66.51%를 설명하였다.
요약하면, K-CIQOL-35 Profile과 K-CIQOL-10 Global의 모든 문항이 요인 적재량 및 공통성 기준을 충족하였고[31], 추출된 요인 구조 역시 원도구(CIQOL)와 일치하여 두 도구 모두 구성타당도가 적절함을 확인하였다.
준거타당도 검증
K-CIQOL의 준거타당도 검증을 위해 다양한 청취 상황에서의 주관적 어려움을 평가하는 K-SHQ 설문을 시행하였다. K-SHQ는 총 24개 문항으로 구성되어 있으며, 네 가지 하위 영역별 청취 어려움을 평가한다(‘조용한 상황에서의 어음인지’, ‘목표 어음과 소음이 정면에서 제시될 때의 소음 하 어음인지’, ‘목표 어음과 소음의 위치가 분리되어 제시될 때의 소음 하 어음인지’, ‘위치변별’). ‘조용한 상황에서의 어음 인지’의 평균 점수는 75.92 (SD: 20.88), ‘목표 어음과 소음이 정면에서 제시될 때’ 혹은 ‘목표 어음과 소음의 위치가 분리되어 제시될 때’ 상황의 평균 점수는 각각 57.84 (SD: 23.71), 55.49 (SD: 24.01)였다. ‘위치변별’의 평균 점수는 43.59 (SD: 24.67)였다.
Table 5는 K-SHQ 점수와 K-CIQOL-35 Profile 혹은 K-CIQOL-10 Global 변환점수 간의 Pearson 상관분석 결과를 보여준다. 분석 결과, K-CIQOL-35 Profile과 K-CIQOL-10 Global 모두 K-SHQ의 ‘조용한 상황 및 소음 하 어음인지’ 영역과 유의한 양의 상관관계를 보였으며(p<0.01), 상관계수는 0.61 이상으로 나타났다. 반면, ‘위치변별’ 영역과의 상관계수는 0.40 이하의 낮은 상관성을 보였다.
Pearson correlation coefficients between the K-SHQ scores and converted scores of the K-CIQOL-35 Profile
따라서 여러 청취 상황에서 어음인지의 어려움이 적을수록 CI 사용자의 QOL이 유의하게 높은 경향을 보였고, 위치 변별과 QOL 간 관련성은 상대적으로 낮았다.
신뢰도 검증
내적 일관성 신뢰도
K-CIQOL의 내적 일관성은 Table 1과 Table 2에 제시하였다. K-CIQOL-35 Profile 원점수를 이용한 분석 결과, 전체 35개 문항의 Cronbach’s α 계수는 0.97이었으며, 어떤 문항을 제거해도 α 값은 더 증가하지 않았다. 6개 하위 영역별 Cronbach’s α는 의사소통(communication) 0.96, 감정(emotional) 0.91, 여가생활(entertainment) 0.88, 환경(environment) 0.89, 청취 노력(listening effort) 0.92, 사회생활(social) 0.89로, 모든 영역에서 Cronbach’s α가 0.70 이상의 양호한 내적 일관성을 보여주었다. K-CIQOL-10 Global의 Cronbach’s α 계수는 0.91로 축약 버전도 우수한 내적 일관성을 나타냈다.
안정성 신뢰도
대상자들에게 2주 간격으로 동일한 K-CIQOL을 반복 시행하여 검사-재검사 신뢰도를 평가하였다. Wilcoxon 비모수 부호순위 검정 결과, K-CIQOL-35 Profile의 모든 문항에서 검사-재검사 간 유의한 차이가 없었다(z 값 범위: -1.89 - -0.24, p>0.05). Table 3과 Table 4에 제시하였듯이 K-CIQOL-35 Profile의 6개 하위 영역별 이차원변량(절대합치도) ICC (2, 1)는 0.96-0.99 (95% 신뢰구간: 0.94-0.99)였고, K-CIQOL-10 Global의 ICC (2,1)는 0.99 (95% 신뢰구간: 0.98-0.99)로, 두 도구 모두 높은 검사-재검사 신뢰도를 보였다.
고 찰
체계적인 문헌 고찰과 메타 분석 결과에 따르면, 일반적인 건강 관련 삶의 질(HRQOL) 평가 도구보다 CI 관련 QOL 평가 도구가 QOL 변화와 CI 사용의 다차원적 효과를 보다 민감하게 반영하였다[8,11-13]. 이는 기본청력검사 결과만으로는 CI의 전반적인 효과를 충분히 설명하기에 한계가 있으며, 사용자의 주관적 경험과 QOL을 종합적으로 평가하는 것이 필수적임을 시사한다. 특히, 사용되는 평가 도구의 특성과 적합 성에 따라 측정 결과의 타당성이 달라질 수 있으므로, 신뢰도와 타당도가 확보된 CI 특이적 QOL 측정 도구의 활용이 필요하다.
본 연구에서는 국내 성인 CI 사용자의 QOL을 평가하기 위해 CIQOL-35 Profile과 CIQOL-10 Global의 한국어 버전(K-CIQOL)을 개발 및 검증하였다. 먼저 K-CIQOL-35 Profile의 탐색적 요인분석 결과, 원도구와 동일한 6개 하위 영역(‘의사소통’, ‘감정’, ‘여가생활’, ‘환경’, ‘청취 노력’, ‘사회생활’) 구조를 확인하였으며, 총 누적 분산 설명력은 77.63%로 우수한 구성타당도를 확인하였다. 이는 35개 문항을 통해 CI 효과를 다차원적으로 평가하는데 활용 가능함을 시사한다. 또한 K-CIQOL-10 Global은 단일 요인 구조(분산 설명력 66.51%)를 보여, 10개의 문항만으로도 임상 현장에서 CI 사용자의 전반적인 QOL을 신속하게 평가할 수 있는 가능성을 보여주었다.
준거타당도 분석 결과, 다양한 청취 환경(조용한 상황 및 소음 상황)에서 어음 인지에 대한 어려움이 적을수록 CI 사용자의 QOL 지수가 유의하게 높은 것으로 나타났다. 특히, 일대일 대화나 소음 환경에서의 의사소통 어려움이 감소할수록 ‘의사소통’ 영역뿐만 아니라 ‘감정’, ‘여가생활’, ‘환경’, ‘청취 노력’, ‘사회생활’ 등 전 영역에서 QOL이 유의하게 향상되는 경향이 관찰되었다. 이러한 결과는 CI 사용자의 의사소통 능력이 정서적 웰빙과 사회적 활동에 중요한 역할을 함을 의미한다. 한편, K-SHQ에서 ‘위치변별’ 항목과 K-CIQOL 두 도구 간 응답은 낮은 상관성을 보였다. 이는 위치변별 능력이 전반적인 QOL과는 상대적으로 독립적인 특성을 지닐 가능성이 있으므로, CI 효과 평가 시 다양한 항목별로 중재 효과를 분석할 필요가 있겠다.
K-CIQOL-35 Profile과 K-CIQOL-10 Global은 모두 우수한 심리측정학적 특성을 보였다. K-CIQOL-35 Profile의 전체 문항에 대한 내적 일관성(Cronbach’s α=0.97)과 하위 영역별 신뢰도 계수(α=0.88-0.96) 모두 높았으며, 검사-재검사 신뢰도 분석에서도 전 영역에서 우수한 안정성 신뢰도를 보였다(ICC=0.96-0.99). K-CIQOL-10 Global 또한 Cronbach’s α=0.91, ICC=0.99로 임상 현장에서 적용하기 적합함을 나타내었다.
Table 6에 제시하였듯이 K-CIQOL-35 Profile의 6개 하위 영역 중 ‘청취 노력’ 영역의 변환 점수가 가장 낮았으며(평균 36.23±19.45), ‘사회생활’ 영역이 가장 높은 점수를 보였다(평균 67.19±20.47). 특히, ‘청취 노력’ 영역의 문항 30번과 29번에서 최저 점수를 보여, CI 사용자가 일상적인 의사소통 상황에서 상당한 집중과 청취 노력을 기울여야 함을 확인할 수 있었다. 반면, ‘사회생활’ 영역의 높은 점수(문항 31번: 4.20±0.90)는 본 연구 참여자들의 대인관계 활동 참여가 상대적으로 양호함을 시사한다. 이러한 경향은 선행연구에서도 유사하게 관찰되었다[19]. Table 6을 통해 비교하였듯이 본 연구와 선행 연구[19] 모두 ‘청취 노력’ 영역의 평균 점수가 42점 미만으로 가장 낮았던 반면, ‘사회생활’ 영역의 평균 점수는 65점 이상으로 가장 높았으며, 개인차도 크게 나타났다. 이와 같은 유사한 결과는 CI 사용자 집단의 특성을 일부 반영하는 것으로 해석된다. 한편, CIQOL이 아닌 NCIQ (60개 문항)를 이용하여 CI 사용자의 QOL을 분석한 연구에서도,32) ‘사회생활’ (social domain) 영역의 QOL 점수가 상대적으로 높았고, ‘자아 효능감’ (self-esteem) 영역의 점수는 낮게 나타났다. 또한, 편측 CI 사용자보다 양측 CI 사용자의 QOL이 더 높게 나타나, 양측 CI 이식이 청각 재활의 다양한 측면에서 긍정적인 영향을 미칠 수 있음을 시사한다. 이러한 양측 CI 사용자의 QOL 향상 경향은 일반적 QOL 도구인 World Health Organization Quality of Life (WHOQOL-BREF) 응답에서는 관찰되지 않았으므로, QOL 평가 시 특정 질병에 특화된 도구의 사용이 중요함을 보여준다.
본 연구의 제한점은 다음과 같다. 첫째, 표본 크기(n=54)의 제한으로 인해 난청 기간, CI 사용 기간 등 다양한 변인별 분석에 한계가 있었다. 이는 결과의 일반화 가능성을 저하시킬 수 있으므로, 향후 다기관 연구를 통해 층화 표집(stratified sampling)을 포함한 대규모 표본 수집이 필요하다. 둘째, 본 연구는 2주 간격의 횡단적 설계(cross-sectional design)를 적용하였기 때문에, 시간 경과에 따른 QOL 변화 추적에는 어려움이 있었다. 횡단적 설계는 특정 시점에서의 상태를 반영하기 때문에 개인별 변화 양상이나 인과 관계 파악에 한계가 있다. 따라서 향후에는 종단적 연구(longitudinal design)를 통해 QOL 변화 패턴과 개인 기대치 간의 격차를 추가 분석할 필요가 있다.
종합하면, 본 연구에서는 국내 성인 CI 사용자의 삶의 질을 다차원적으로 평가할 수 있는 K-CIQOL-35 Profile과 K-CIQOL-10 Global을 개발 및 검증하였다. K-CIQOL-35 Profile은 ‘의사소통’, ‘감정’, ‘여가생활’, ‘환경’, ‘청취 노력’, ‘사회생활’ 등 6개 하위 영역을 통해 CI 사용자의 QOL을 종합적으로 평가 가능하다. K-CIQOL-10 Global은 10개 문항으로 구성되어 임상 현장에서 5분 이내에 전반적인 QOL을 간편하게 스크리닝할 수 있다는 장점을 지닌다. 본 연구에서 개발한 두 K-CIQOL 도구는 원도구(CIQOL)와 유사한 구성 타당도를 보였으며, 준거타당도, 내적 일관성, 검사–재검사 신뢰도에서도 우수한 결과를 보였다. 이러한 특성을 바탕으로 K-CIQOL은 국내 성인 CI 사용자의 기능적, 정서적, 사회적 요구를 종합적으로 평가할 수 있는 신뢰성 높은 도구로, 향후 임상 현장에서 재활 계획 수립 및 효과 평가에 기여할 수 있을 것이다.
Notes
Acknowledgments
We thank the MUSC Cochlear Implant Quality of Life Research Program for providing access to the K-CIQOL instruments.
The K-CIQOL-35 and K-CIQOL-10 instruments are available for download on the following website: https://medicine.musc.edu/departments/otolaryngology/research-scholarship/cochlear-implant/ciqol-translations.
Author Contribution
Conceptualization: Jeong Seon Yun, Jae Hee Lee. Data curation: Jeong Seon Yun, Wha Weon Jung. Formal analysis: Jeong Seon Yun, Wha Weon Jung. Writing—original draft: Jeong Seon Yun. Writing—review & editing: all authors.
