서 론
항중성구세포질 항체(antineutrophil cytoplasmic antibody, ANCA) 관련 혈관염은 자가면역질환의 일종으로, 전신적인 혈관의 괴사성 염증을 특징으로 한다. 주로 작은 혈관을 침범하는 형태의 병리 소견을 보이며, myeloperoxidase(MPO)나 proteinase 3(PR3)와 관련이 있다[1]. 육아종증 다발혈관염(granulomatosis polyangitis, GPA), 현미경적 다발혈관염(microscopic polyangitis), 호산구성 육아종증 다발혈관염(eosinophilic GPA) 등이 이들 질환에 속하며, 전신적인 항중성구세포질 항체 관련 혈관염은 약 19~61% 정도가 질병의 임상 경과 과정에서 귀 증상을 나타내는 것으로 알려져 있다[2]. 국소적인 증상만 나타나는 경우는 상대적으로 드물며, 특히 초기 증상으로 청력저하, 이충만감, 이명 및 현훈 등의 귀 증상만 나타나는 경우는 더욱 드물다[3-5]. Harabuchi 등[1]은 다음의 3가지 기준을 만족하면 항중성구세포질 항체(ANCA) 관련 혈관염에 동반된 중이염으로 진단하였다. 첫째, 항생제나 고막환기관 삽입술로도 치료되지 않는 삼출이나 육아종을 동반한 중이염의 증상이 있는 경우, 둘째, 다음의 3가지 중 적어도 1가지를 만족: 1) 혈청 MPO 또는 PR3-ANCA에 양성, 2) 병리학적으로 작은 혈관을 침범하는 괴사성 혈관염의 소견이 있는 경우, 3) 귀 외에 다른 증상/징후(눈, 코, 인두, 후두, 폐, 신장 등)가 하나라도 동반된 경우. 셋째, 세균성 중이염, 콜레스테롤 육아종, 악성 골염, 호산구성 중이염, 결핵성 중이염, 종양 등의 다른 질환이 배제되는 경우. 일본에서는 상대적으로 많은 증례가 보고되었지만 한국을 포함하여 세계적으로는 귀 증상만으로 나타나는 항중성구세포질 항체 관련 혈관염의 증례는 보고된 바가 많지 않다. 본 증례에서는 잘 치유되지 않는 중이염 및 어지럼증을 주소로 내원한 환자를 MPO-ANCA 관련 혈관염으로 진단하고 스테로이드와 면역억제제를 이용한 내과적 치료를 통해 호전된 2예를 경험하였기에 보고하는 바이다.
증 례
증례 1
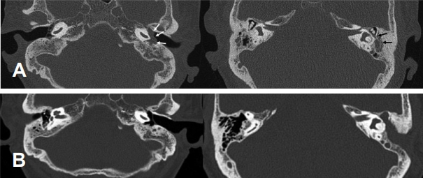
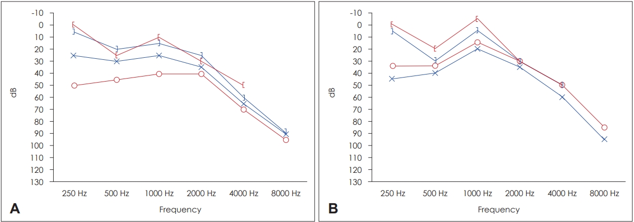
71세 여자 환자가 약 3달 전부터 발생한 우측 이루, 이통과 난청을 주소로 내원하였다. 환자는 상기 증상으로 한 달 전 개인병원에 내원하여 우측 삼출성 중이염으로 진단받고 우측 고막환기관 삽입술을 받았던 이력이 있었으며, 비슷한 시기에 우측 안면신경마비가 발생하여 고용량 스테로이드 치료를 받은 후 호전되었다고 하였다. 내원 전일부터 좌측 귀에도 이충만감 및 난청이 발생하였다고 하며 외래에서 시행한 내시경 검진상 우측 고막은 고막환기관이 삽입된 상태로, 삼출액은 관찰되지 않았으며, 좌측은 삼출성 중이염 소견이 관찰되었다. 순음 청력검사상에서는 우측은 고막환기관이 삽입되어 있음에도 우측 기도청력 41 dB, 골도청력 21 dB로 기도골도 차가 있었으며 좌측 기도청력 30 dB, 골도청력 2 0 d B으로, 양측 모두 혼합성 난청 소견을 보였다(Fig. 1). 측두골 전산화단층촬영에서는 양측 중이강 내의 삼출액과 우측 유양돌기염 및 골미란성 병변이 있어 진주종 의심 소견이 관찰되었다. 1주일간 cefditoren(3세대 cephalosporin 계열 항생제)를 투약하였으며, 좌측 삼출성 중이염이 지속되어 좌측에 대하여 고막환기관 삽입술을 시행하였으며 장액성 삼출물이 배출되었다. 삼출액에 대해 균 배양검사를 시행하였고, levofloxacin으로 항생제를 변경하여 1주일간 투약하였으나 이통은 호전이 없었다. 내시경 검진상 중이강 내에 삼출액은 감소하였으나 중이강 내에 육아종 의심 소견이 관찰되었다(Fig. 2). 시행한 균 배양검사에서 특별히 자라는 균도 발견되지 않았다.
환자는 진단적 검사를 위해 입원하여 면역검사를 시행하였으며, MPO-ANCA는 3 8.4 U/mL로 양성이었으나 PR3-ANCA는 음성 소견을 보였다. 내시경 검진상 비강이나 인두, 후두에서는 특별한 병변은 관찰되지 않았다. ESR은 78 mm/hr로 상승되어 있었으며, 혈청 CH50이 56.57 U/mL로 증가되어 있었다. 가슴 전산화단층촬영에서 기관지 확장증이 확인되었으나 특별한 호흡기적 증상을 호소하지는 않았다. 시행한 혈액검사상에서 혈청 크레아티닌 수치는 0.78 mg/dL로 정상이었다. 상기 소견을 바탕으로 하여 MPO-ANCA 관련 혈관염에 동반된 중이염으로 진단하고 치료를 위해 내과 협진하에 methylprednisolone 48 mg/day, methotrexate 10 mg/week, folic acid 1 mg/day를 투약하였다. 스테로이드 투약 후 5일째 이루 및 이통은 대부분 호전되었으며 좌측의 이명만 호소하였다. 스테로이드 투약 1주일째부터 스테로이드 감량을 시작하였으나 스테로이드의 감량과 함께 이루 및 이충만감이 다시 악화되어 methylprednisolone을 32 mg/day로 유지하였다. 치료 20일째, 고막 검진상 양측 고막 환기관이 잘 유지되는 상태로 이루는 모두 호전되었고, 시행한 순음 청력검사에서 우측 기도청력 21 dB, 골도청력 15 dB 및 좌측 기도청력 31 dB, 골도청력 21 dB로 호전되어(Fig. 1) 치료 22일째 methylprednisolone을 32 mg/day 로 유지하면서 퇴원하였다. 퇴원 후 치료 1달째에 추적 관찰한 MPOANCA는 7.0 U/mL로 이전보다 감소하였으며, 이후 증상에 따라 스테로이드 용량을 조절하여 경과 관찰 중이며, 퇴원 후 3개월째 methylprednisolone 8 mg을 유지하며 특별한 귀 증상 없이 외래 통한 경과 관찰 중이다.
증례 2
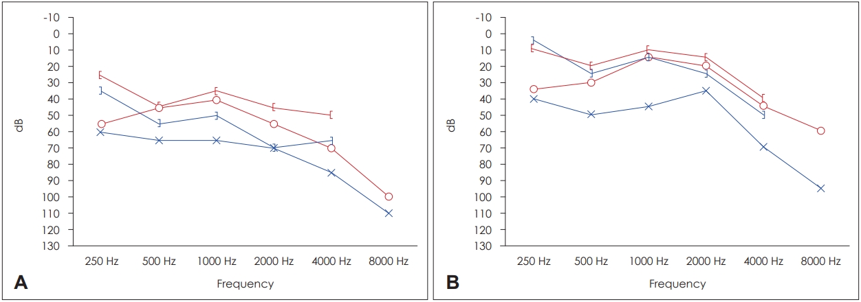
56세 여자 환자가 수일 전부터 발생한 회전성 어지럼증을 주소로 응급실에 내원하였다. 병력상 3달 전부터 양측 이충만감이 발생하였고, 내원 2달 전 개인병원에서 양측 삼출성 중이염으로 진단받고 양측 모두 고막환기관을 삽입하였다. 내원 이틀 전 좌측 이통이 악화되어 고막환기관은 제거하였고, 비슷한 시기에 회전성 어지럼이 발생하여 응급실로 내원하였다. 응급실에서 시행한 이학적 검사상 우측으로 자발안진이 관찰되었고, 환자는 인지하지 못하였지만 House-Brackmann grade III의 우측 안면신경마비 소견이 함께 관찰되었다. 고막 검진상 우측 고막환기관 및 양측 장액성 이루가 관찰되었고 순음 청력검사에서 우측 45 dB, 좌측 기도청력 66 dB, 골도청력 58 dB로 측정되었다(Fig. 3). 측두골 전산화단층촬영에서는 좌측 중이강 내에 연조직 음영이 관찰되며 유양돌기에도 염증 소견이 관찰되었다(Fig. 4A). 안면마비에 대해 고용량 스테로이드(methylprednisolone 48 mg) 치료를 시작하였고, 어지럼증에 대해 시행한 caloric검사상 좌측은 반응이 나타나지 않았고, 우측으로 자발안진이 관찰되어 좌측 전정기능장애 소견이 관찰되었다. 내이도 자기공명영상에서는 우측 안면신경을 일으킬 만한 특별한 병변은 관찰되지 않았다. 2주간 고용량 스테로이드 치료를 시행한 후 3일째 환자는 좌측 이통 및 이루가 악화되어 다시 응급실로 내원하였고, 증상 조절을 위해 입원하였다. 이루에 대해서 시행한 균배양검사에서 동정되는 균은 없었다. 입원하여 시행한 면역검사상 MPO-ANCA는 양성이었으며 PR3-ANCA는 음성 소견을 보였다. 함께 시행한 비강 및 인, 후두 내시경에서는 특별한 이상 소견은 관찰되지 않았다. 가슴 방사선검사상 기관지 확장증이 의심되어 가슴 전산화단층촬영을 시행하였으며, 폐 실질에는 특별한 이상 소견이 없고 특별한 호흡기 증상이 없는 상태로 경과 관찰하기로 하였다. 시행한 혈액검사상 혈청 크레아티닌 수치도 0.68 mg/dL로 정상이었다. 내과 협진하에 prednisolone 1 mg/kg/day 및 methotrexate 10 mg/week, folic acid 1 mg/day를 유지하며 경과 관찰하던 중 투약 이후에도 좌측 이통 및 이루가 악화되어 투약 이틀째 병변의 재평가를 위해 측두골 전산화단층촬영을 시행하였으며, 검사상 이전보다 좌측 중이강 내 병변의 범위가 증가하는 소견이 보여 수술적 치료를 계획하였다. 전신마취하에 좌측 폐쇄형 유양동 삭개술(intact canal wall mastoidectomy)을 시행하고, 중이강 내의 육아조직을 제거한 후 침골 및 추골의 두부를 제거하고 이소골의 재건 없이 제0형 고실성형술(tympanization)을 시행하였다[6]. 조직검사상 뚜렷한 혈관염의 소견은 확인되지 않았다. 수술 후에도 스테로이드는 유지하였으며, 이통 및 이루는 호전되어 환자는 수술 후 9일째 퇴원하였다. 한 달 후 우측 안면신경마비는 정상으로 호전되었고, 이후 환자는 정기적으로 류마티스 내과 및 이비인후과 외래를 통해 증상에 따라 스테로이드 용량을 조절하였으며, 18개월간 투약 후 스테로이드는 중단한 상태로 특이 증상 없이 외래 통한 경과 관찰 중이다. 수술 후 1년 6개월째에 시행한 측두골 전산화단층촬영에서 중이강 내에 연조직 음영은 모두 호전된 상태로(Fig. 4B), 좌측에 대하여 2차 이소골 성형술을 시행하였다. 회복 후 시행한 순음 청력검사상에서 우측 22 dB, 좌측 기도청력 43 dB, 골도청력 21 dB로 호전된 소견이 관찰되었다(Fig. 3).
고 찰
본 논문에서는 잘 치유되지 않는 급성 삼출성 중이염을 귀 증상만으로 나타나는 국한형 ANCA 관련 혈관염으로 진단하고 스테로이드 및 면역억제제를 통해 성공적으로 치유한 2예를 소개하였다.
ANCA 관련 혈관염은 괴사성 혈관염을 특징으로 하는 전신 질환으로 눈이나 귀, 코, 신장, 폐 등의 다양한 장기를 침범할 수 있는 것으로 알려져 있다[7]. 이러한 ANCA 관련 혈관염은 병리학적으로 침범하는 혈관의 크기에 따라 분류할 수 있는데, 작은 혈관을 침범하는 경우 육아종증 다발혈관염(이전의 Wegener 씨 육아종증), 현미경적 다발혈관염, 호산구성 육아종증 다발혈관염(이전의 척-스트라우스 증후군)이 이 분류에 속한다[8-11]. 육아종증 다발혈관염은 주로 귀나 코, 상기도 및 폐의 괴사성 육아종을 형성하는 것이 특징이고, 현미경적 다발혈관염은 괴사성 사구체신염으로 알려진 신장의 작은 혈관들을 침범하는 것이 특징이다. 호산구성 육아종증 다발혈관염은 심한 기관지 천식, 만성 부비동염, 호산구성 기관지염을 동반하는 것으로 알려져 있다[10]. 이들 질환은 일반적으로 진행하는 사구체 신염, 간질성 폐렴 등의 증상으로 나타나는데, 이렇게 신장 혹은 폐를 침범한 경우 전신형(systemic form), 신장 혹은 폐를 침범하지 않은 경우 국한형(localized form)으로 분류할 수 있다[2].
일반적으로 ANCA 관련 혈관염은 신장, 폐를 침범하는 경우가 많아 전신형으로 진단되는 경우가 더 많으나, 귀나 코 증상에 국한된 국한형으로 진단되기도 한다[2]. 특히 귀 증상에 국한된 ANCA 관련 혈관염은 더욱 드물고 아시아계 여성에서 상대적으로 흔한 것으로 알려져 있다[12]. 이러한 국한형 ANCA 관련 혈관염의 경우 10% 정도가 전신형으로 진행하는 것으로 알려져 있으며, 면역억제제의 사용에도 불구하고 46%가 재발할 수 있다[2].
귀 증상만 있는 국한형 ANCA 관련 혈관염의 경우 초기에는 증상이 성인의 급성중이염이나 삼출성 중이염과 비슷하게 청력 소실과 이통, 이루의 증상을 보이기 때문에 쉽게 진단을 내리기는 어렵다. 일측성 혹은 양측성으로 발생하며 지속적인 약물 치료나 고막환기관 삽입에도 증상의 호전이 일어나지 않고, 감각신경성 난청과 어지럼과 같은 내이 증상과 안면마비가 동반되기도 한다. 본 증례에서는 두 증례 모두 치료에 반응하지 않는 반복적인 삼출성 중이염의 병력이 있었고, 안면마비와 어지럼을 동반하는 전정신경장애가 발생하여, 양측성으로 질병이 진행하는 것을 고려하였을 때 ANCA 관련 혈관염의 가능성을 의심할 수 있었다.
ANCA 관련 혈관염을 진단하기 위해서는 귀 증상과 함께 혈청 MPO 혹은 PR3-ANCA가 양성이거나 병리학적으로 괴사성 혈관염이 관찰되어야 하는데, PR3-ANCA는 육아종증 다발혈관염에 보다 특이적으로 양성이며, MPO-ANCA는 현미경적 다발혈관염에 보다 특이적으로 양성으로 나타나는 것으로 알려져 있다[12]. 병리학적인 소견은 ANCA 관련 혈관염의 진단에 있어서 중요한 역할을 하지만, 많은 경우 적절한 조직검체를 얻는 것이 어렵고, 특히 중이강 내의 검체는 폐나 비강 내의 검체에 비해 낮은 양성률을 보인다고 알려져 있어 혈청학적 검사에 비해 상대적으로 진단적 중요도는 낮다[2]. 증례의 경우 모두 MPO-ANCA 양성이었으며, 두 번째 증례에서 조직검사를 시행하였으나 채취된 조직의 양이 적어서 조직 내에 혈관이 보이지 않아 괴사성 혈관염의 소견은 보이지 않았다. ANCA 관련 혈관염이 의심되지만 혈청학적으로 음성인 경우, 진단을 위한 중이강 내 조직검사가 고려될 수 있으나 조직학적 진단을 확인하는 동안 스테로이드 및 면역억제제의 투여가 지연되어서는 안 된다[2].
ANCA 관련 혈관염의 기전을 살펴보면, 크게 중이강 및 내이로 나누어서 생각해볼 수 있다. 중이강 내 점막조직의 혈관염으로 인해 육아종과 삼출물이 발생하여 전음성 난청을 일으키게 되는데, 일반적으로 면역억제제를 투약하면서 이러한 전음성 난청은 호전될 수 있다. 질병이 진행함에 따라 중이강 내에 있던 육아종이 정원창과 난원창을 통해 내이로 전파되게 되는데, 이로 인해 나선인대(spiral ligament)와 혈관선조(stria vascularis) 부위에 미세혈액순환이 감소하게 되어 내림프의 칼륨 농도에 영향을 주게 되어 와우 내 전위(endocochlear potential)가 감소하게 된다. 이로 인해 감각신경성 난청이 발생하고, 이 현상이 지속되면 혈관선조의 구조적 이상이 생겨 내이의 허혈이 발생하게 되어 내이 유모세포의 영구적인 손상을 초래하게 된다[2].
안면마비의 경우 그 기전이 명확하게는 밝혀지지는 않았지만, 이전에는 육아종의 크기가 커짐에 따라 안면신경관의 골미란이 발생하여 안면신경이 압박을 받으면서 발생하는 것으로 생각되어 왔다. 하지만 최근에는 안면신경에 혈류를 공급하는 신경 속 혈관(vasa nervorum)에 혈관염이 발생하게 되면서 안면신경마비가 발생하게 된다는 주장도 있다[13].
감별할 질환으로는 급성 및 삼출성 중이염, 악성 골수염, 결핵성 중이염, 호산구성 중이염을 생각할 수 있다. 급성 중이염의 경우 합병증으로 어지럼과 감각신경성 난청과 같은 내이염 증상과 안면신경마비가 나타날 수 있다. 특히 성인에서의 급성 중이염은 내이염의 합병증이 많이 생기므로 초기에는 적절한 항생제 투여와 함께 고막환기관 삽입술 등을 시행할 수 있다. 대부분 일측성으로 발생하고, 대개 고막환기관 삽입술과 항생제 투여 후 주관적인 증상과 염증이 감소된다. 간혹, 측두골 단층촬영상에 융합유돌염(coalescent mastoiditis) 소견이 보이므로, 필요에 따라서 유양돌기 삭개술과 같은 수술적 치료가 필요할 수 있다.
삼출성 중이염은 성인에서 양측에서 발생할 수 있으나, 삼출성 중이염만으로는 통증이나 내이염, 안면신경마비와 같은 합병증은 드물고, 고막환기관 삽입술만으로 쉽게 증상이 호전된다.
악성 골수염은 악성 외이도염이나 중이염 후에 뇌기저부를 따라 염증이 진행되어 발생할 수 있으며, 심한 통증이 귀와 두부, 안면부에 발생한다. 당뇨병이나 면역저하를 일으키는 기저 질환이 있는 경우에 발생할 수 있으며, 일측성에서 중이염 소견과 함께 MRI 촬영을 통해 뇌기저로의 침범을 확인할 수 있다.
결핵성 중이염도 급성 중이염과 같이 일측성의 통증과 청력 소실로 발생하며, 항생제 등으로 쉽게 호전되지 않는다. 수술적 치료 시에는 육아종이 심하므로, 이유를 알 수 없이 급성으로 발생하는 중이염의 경우에는 결핵 원인균을 반드시 의심하여야 한다.
따라서 급성이나 삼출성 중이염을 의심할 만한 소견을 보이나 항생제나 고막환기관 삽입술로 호전이 되지 않거나, 일측성이나 양측성으로 감각신경성 난청이나 어지럼 등의 내이 증상을 보이거나, 안면신경마비 등을 보일 경우에는 앞에서 언급한 감별할 질환들과 함께 반드시 ANCA를 포함하는 면역학적 혈청검사를 시행하는 것이 중요하다.
ANCA 관련 혈관염의 치료는 기본적으로 스테로이드와 면역억제제의 병합 요법을 기본으로 한다[3]. Prednisolone은 약 0.8~1 mg/kg/일 정도를 초기 용량으로 시작하여 임상 증상과 C-반응 단백질을 함께 추적 관찰하면서 점차 감량하여 하루 5~10 mg 정도를 유지 용량으로 사용하고, 면역억제제는 약 2년간 투약한다. 약물 용량의 조절을 위해 류마티스 내과 협진이 필요하며, 적절한 투약에도 불구하고 46%가 재발할 수 있어 지속적인 추적 관찰을 요한다[2]. 본 증례에서는 첫번째 증례의 경우 내과적 치료를 통해 증상의 호전이 있었으나, 두 번째 증례의 경우 지속적인 스테로이드 사용에도 불구하고 증상의 악화 및 영상학적 검사상 병변의 범위가 증가하는 소견을 보여 수술적 치료를 함께 시행하였다. 수술 후에도 스테로이드 치료는 유지하였으며, 환자의 이통과 이루는 수술 이후로 많이 호전되었다. 수술의 목적은 크게 두 가지로 나누어 생각할 수 있었다. 첫째, 약물투여에도 불구하고 증상이 악화되었으므로, 조직검사를 통한 확진이나 결핵이나 진균과 같은 다른 원인균에 의한 중이염을 감별하기 위함이었다. 둘째, 수술을 통해 육아종을 제거함으로써 병변의 정도를 경감시켜서 내과적 치료효과를 높일 수 있을 것으로 생각되었다. 두 번째의 증례는 결과적으로 수술 후 결핵이나 진균의 증거는 보이지 않았고, 수술 후 약물에 의한 반응도 좋아져서 좋은 결과를 얻을 수 있었다.
결론적으로 저자들은 잘 치유되지 않는 중이염으로 내원한 환자를 MPO-ANCA 관련 혈관염으로 진단하고 스테로이드와 면역억제제를 통해 성공적으로 치료한 2예를 경험하였기에 보고하는 바이다. 성인에서 양측으로 발생한 중이염이 세균성 급성 중이염이나 삼출성 중이염으로 의심되어 항생제 치료와 고막환기관 삽입술을 시행했음에도 불구하고 증상의 호전이 없는 경우에는 반드시 혈청검사를 통해 감별해야 할 질환으로 생각된다.












