![]() |
![]() |
AbstractBackground and ObjectivesSeveral drugs which can improve blood flow have been used as treatment options for sudden sensorineural hearing loss (SSNHL) based on the theory that improvement of perfusion into the inner ear will help restore hearing. Lipo-prostaglandin E1 (lipo-PGE1) is a well-known vasodilator that increases peripheral blood flow. The purpose of this study was to investigate the effect of lipo-PGE1 on the recovery of the SSNHL patients with hypertension or diabetes.
Subjects and MethodWe retrospectively analyzed 801 patients who were diagnosed with SSNHL from January 2007 to December 2018. All patients were treated with 48 mg of methylprednisolone for 5 days; some patients received lipo-PGE1, depending on the attending physician. They were divided into four groups according to the presence or absence of hypertension and diabetes. Hearing test was performed again one month after treatment and compared with the test results at the time of diagnosis.
ResultsAs a result of comparing the hearing thresholds before and after the treatment in each group, there was a significant improvement in hearing thresholds in all groups (p;<0.001). However, when comparing the effect of lipo-PGE1 for hearing change, there was a significant difference only in the group without any underlying diseases (p;=0.016).
ConclusionIn this study, we show that lipo-PGE1 was helpful in hearing recovery when used in patients without underlying diseases rather than patients with hypertension or diabetes. Further studies will be needed to determine the therapeutic effects of lipo-PGE1 as an adjuvant treatment in SSNHL patients.
서 론돌발성 난청은 가장 흔하게 발생하는 이과적 응급 질환으로, 특별한 원인 없이 72시간 내에 연속하는 세개의 주파수에서 30 dB 또는 그 이상의 감각신경성 난청이 발생한 경우로 정의되며[1], 100명 중 1.5~1.7명에서 호발한다고 알려져 있다[2].
지금까지 돌발성 난청의 원인에 대한 많은 연구들이 있었으나 아직 명확한 원인은 밝혀지지 않았으며, 돌발성 난청의 발병 원인에 대해 가장 널리 알려진 이론으로는 혈관압박, 와우의 기저막 파열, 바이러스 감염 등이 있다. 혈관에 관한 병인론적인 이론에 의하면 와우로 피를 공급하는 전하소뇌동맥(anterior inferior cerebellar artery)의 분지인 미로동맥(labyrinthine artery)에서 혈류 공급에 장애가 생기게 되었을 때 돌발성 난청이 발생한다. 또한 고혈압, 당뇨, 고지혈증과 같은 기저질환이나 흡연과 같은 인자들도 돌발성 난청에 영향을 미치는 요소들로 추측되고 있다[3].
돌발성 난청의 치료는 45~65%의 환자들이 자연적으로 좋아지기도 하지만 원인을 명확하게 알 수 없고 회복을 정확히 예측할 수 없기에 대부분 스테로이드 및 여러 약물치료를 병행하게 된다[4]. 경험적으로 다양한 방법을 사용하고 있으며 일반적으로는 바이러스 감염과 혈관 문제에 대한 약물을 사용한다[5]. 이 중 내이의 혈류 개선으로 청력을 회복하는 이론을 바탕으로 사용되고 있는 여러 약제 중 prostaglandin E1 (PGE1)는 혈관 순환장애에 사용되는 혈관확장제이다[6]. PGE1은 폐에서 빨리 비활성화 되기 때문에 많은 용량을 정맥주사로 투여해야 하고, 설사나 저혈압을 유발할 수 있다. 이러한 급격한 대사활동을 막기 위해 콩에서 추출한 0.2 μm 크기의 lipid microsphere를 PGE1에 부착해 동일한 치료효과를 보이는 lipo-prostaglandin E1(lipo-PGE1)을 만들어 사용하고 있다[7]. 이러한 약리학적 기초에 근거하여 lipo-PGE1은 다양한 종류의 폐색성 혈관 질환 및 당뇨 합병증의 치료에 사용되고 있으며, 고혈압 환자에서는 내이 혈관 출혈과 같은 원인으로 청력손실의 위험이 있고, 당뇨병 환자에서도 혈액 점도 변화와 내이 혈전 형성으로 인해 난청의 발생 위험이 있다는 기존 연구[8]를 바탕으로 본 연구에서는 돌발성 난청의 치료에 있어서 고혈압과 당뇨의 유무에 따른 보조적 치료제로서의 lipo-PGE1의 효과를 알아보고자 하였다.
대상 및 방법본 연구는 삼성창원병원에서 2007년 1월~2018년 12월까지 돌발성 난청을 진단받고 입원치료를 받은 801명의 환자의 의무기록을 후향적으로 분석하였으며, 대상자 선정 과정에서 급성 감염 증상, 만성 중이염, 메니에르병과 같은 이과 질환의 병력이 확인되거나 음향 외상의 병력이 있는 환자는 배제하였다. 환자들의 의무기록 중 환자의 연령, 성별, 고혈압과 당뇨의 유무, 초기 동반 증상, 치료 전후의 순음청력검사 결과를 수집하였다. 이 연구는 본원의 기관윤리심의위원회의 심의를 통과하였다(SCMC2020-06-017).
외래나 응급실을 내원하여 순음청력검사 후 돌발성 난청이 진단된 환자는 기본적인 병력과 난청이 발생하기 전 청력 상태에 대한 문진을 받았으며, 입원 후 침상 안정과 함께 혈액 검사 및 영상학적 검사를 시행하였다. 돌발성 난청에 대한 치료로는 첫 5일 동안은 methylprednisolone(Methylon, Alvogenkorea, Seoul, Korea)을 48 mg 복용하였으며, 이후 2일마다 8 mg씩을 감량하여 총 15일 동안 경구 고용량 스테로이드 치료를 시행하였고, 담당 주치의에 따라 Lipo-prostaglandin E1(EglandinⓇ, 5 μg/mL, Mitsubishi Tanabe Pharma Korea Co., Ltd., Seoul, Koera)를 일부 환자에서는 투여하였다. 치료 시작 후 3일째 청력검사를 시행하여 청력 호전이 관찰되지 않는 환자는 고실 내 스테로이드 주입술을 이틀에 한 번씩 4회 시행하였다. 고실 내 스테로이드 주입술은 환자의 고막 상태를 확인한 뒤 국소마취제(Beracaine Spray, Firson, Cheonan, Korea)를 뿌려 10분간 국소마취를 시행한 다음 26-gauge 척추용 주사바늘을 연결한 1 cc 주사기를 이용하여 미세현미경하에서 고막 전상방에 dexamethasone disodium phosphate(Dexamethasone, Yuhan, Seoul, Korea)를 0.5 cc 주입하였다. 총 801명의 환자를 고혈압과 당뇨의 유무에 따라 A, B, C, D의 네 군으로 나누었고, 고혈압과 당뇨가 모두 없는 A군은 583명, 고혈압만 있는 B군은 88명, 당뇨만 있는 C군은 67명, 고혈압과 당뇨가 모두 있는 D군은 63명으로 구성되었다.
청력검사는 입원 시 GSI AudioStar Protm(Grason-Stadler Inc., Eden Prairie, MN, USA)를 사용하여 순음청력검사를 시행하였고, 치료 시작 후 3일째에 한 번 더 검사해 예후를 관찰하였으며 퇴원 후에도 정기적인 경과 관찰을 하였다. 입원 당시의 순음청력검사 결과와 치료 시작 1개월 뒤의 청력검사 결과를 비교 분석하였으며, 청력 회복의 판정은 순음청력검사에서 0.5, 1, 2, 4 kHz를 이용한 4분법을 사용하여 그 평균값을 비교하였다.
통계학적 분석은 SPSS 20.0(IBM Corp., Armonk, NY, USA)를 통하여 시행하였으며, 각 군별 나이와 치료 전후의 청력을 비교 분석하기 위해 analysis of variance 분석을 시행하고, 사후 검정법으로는 Turkey법을 사용하였다. 각 군별 성비와 lipo-PGE1 사용 유무, 동반 증상인 현기증과 이명의 빈도 분석에는 카이제곱 검정을 사용하였으며, 돌발성 난청 발생 후 치료를 시작하기까지 걸린 시간과 연령에 따른 차이를 각 군별 lipo-PGE1 투약 유무에 따라 분석하기 위해 독립표본 T 검정을 사용하였다. 각 군별 치료 전후의 청력 변화를 비교하기 위해서는 대응표본 T 검정을 실시하였고, 각 군별 lipo-PGE1 사용 유무에 따른 치료 전후의 평균 청력회복역치와 주파수별 청력회복역치를 비교에는 독립표본 T 검정을 실시하였다. p value가 0.05 미만일 경우 통계적으로 유의한 의미를 가진다고 판단하였다.
결 과총 801명의 환자 중에서 남성은 400명(49.9%), 여성은 401명(50.1%)이었으며, 모두 과거의 이과적 병력이 없었다. 환자들의 평균 나이는 50.61±20.14세였으며 각 군의 성별, 평균 연령, 치료 전후 청력은 Table 1에 정리되어 있다. 성비는 네 군의 비교에서 통계적인 유의함이 발견되지 않았지만, 나이와 치료 전 청력역치는 A군과 D군에서 통계적인 유의한 차이가 있었다(p<0.001).
각 군별로 lipo-PGE1의 사용 여부에 치료 전 청력역치와 따른 연령의 차이, 돌발성 난청 발생 후 치료 시작까지 걸린 시간을 분석한 내용을 Table 2에 정리하였다. 각 군 내에서 lipo-PGE1의 사용 여부에 따른 치료 전 청력을 분석한 결과 네 군 모두에서 유의미한 차이가 없었고, 나이 차이는 네 군 모두에서 유의한 차이는 보이지 않았으며, 발병 후 치료를 시작하기까지 걸린 시간 또한 통계적으로 유의하지 않았다. 또한 돌발성 난청 발생 시 현기증과 이명의 동반 여부를 각 군별 lipo-PGE1의 사용 여부에 따라 분석하였을 때에도 Table 2에 정리된 것과 같이 네 군 모두에서 유의한 차이는 없었다.
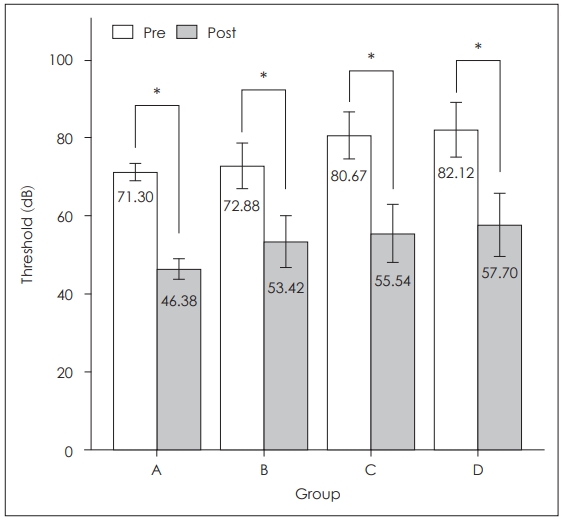
Lipo-PGE1의 사용 여부와 상관 없이 돌발성 난청 치료 전후 청력을 비교하였을 때에는 네 군 모두에서 치료 전과 후에 유의미한 차이가 있었다(Fig. 1). A군은 치료 전 71.30±28.05 dB에서 치료 후 46.38±32.25 dB(p<0.001)로, B군은 치료 전 72.88±27.57 dB에서 치료 후 53.42±31.89 dB(p<0.001)로 각각 유의한 호전을 보였다. C군 또한 치료 전 80.67±24.96 dB에서 치료 후 55.54±30.45 dB(p<0.001)로, D군도 치료 전 82.12±27.80 dB에서 치료 후 57.70±32.04 dB(p<0.001)로 유의한 차이가 있었다.
각 군별 치료 전후 평균 청력역치의 변화를 lipo-PGE1 사용 유무에 따라 분석한 결과 기저질환이 없는 A군에서는 lipo-PGE1을 투약하지 않은 환자들의청력역치 변화는 22.57±23.66 dB, 투약한 환자들의 청력 역치 변화는 27.18±22.43 dB로 lipo-PGE1을 투약한 환자들이 청력의 회복 정도가 더 좋았으며, 통계적으로도 유의한 차이가 있는 것으로 나타났다(p=0.016). B군에서도 lipo-PGE1을 투약하지 않은 환자들의 치료 전후 청력역치 변화는 16.57±29.05 dB, lipo-PGE1을 투약한 대상자들은 21.76±23.45 dB로 lipo-PGE1을 투약한 경우 청력이 더 많이 회복되었으나 통계적으로 유의하지는 않았다(p=0.356). C군도 lipo-PGE1을 투약하지 않은 환자의 청력 역치 변화는 24.78±28.06 dB, lipo-PGE1을 투약한 환자는 25.39±20.52 dB로 lipo-PGE1을 투약한 환자의 청력역치 변화가 더 많았으나 통계적으로 유의하지는 않았다(p=0.918). D군은 lipo-PGE1을 투약하지 않은 환자의 청력역치 변화는 24.84±23.94, lipo-PGE1을 투약한 환자는 24.02±22.95로 청력역치 변화의 정도도 차이가 없었으며, 통계적으로 유의하지도 않았다(p=0.891)(Fig. 2).
고 찰돌발성 난청은 명확한 원인 없이 3일 이내에 갑자기 발생하는 감각신경성 난청으로, 많은 연구에서 발병 원인을 밝히고자 하였지만 대부분 원인을 찾기 못하고 바이러스 감염과 혈관장애가 주된 발병 기전으로 생각된다. 그 외에 와우막 파열, 자가면역성 질환, 청신경 종양 등이 원인으로 알려져 있다[9]. 돌발성 난청이 발병한 직후의 청력 손실 정도가 예후와 관련이 있다고 알려져 있으며, 발병 후 치료 시작 시기, 고혈압이나 당뇨와 같은 기저질환의 여부, 어지러움의 동반 등이 치료 후 청력 회복의 예후와 관련이 있다[4].
현재까지 고혈압과 당뇨가 있는 경우 내이의 장애가 발생하는 명확한 원인이 밝혀지지는 않았지만, 고혈압과 당뇨가 와우 외림프액의 저산소증을 야기하는 원인이 될 수 있다는 연구들이 있다[5,6,10]. 고혈압은 와우 내 혈류에 영향을 미쳐 내 림프액 뿐만 아니라 외림프액의 칼슘의 응집도를 강화시키고, 이러한 이온적 변화가 세포의 활동전위에 영향을 미쳐 청력 손실을 야기한다는 것이다[5]. 고혈압과 청력손실의 연관성은 오랫동안 논의되어 왔으며, 고혈압 환자에게 처방되는 약물이 와우의 대사와 혈관의 변화를 야기해 청력손실이 일어난다는 보고도 있다[6]. 혈관에 문제가 있는 경우 청력손실에 직접적인 영향을 주거나 두꺼워진 모세혈관벽이 와우로 향하는 영양 공급을 방해한다. Tooke [10]에 의하면 당뇨로부터 기인한 미세혈관장애가 모세혈관의 혈압을 높이고, 이로 인해 코르티 기관에 상대적으로 혈류가 막히게 되거나 저산소증을 초래하여 세포가 손상된다는 것이다. Makishima와 Tanaka [11]의 연구에 의하면 당뇨병은 혈관장애로 인해 내피세포가 증식하고 혈관 내막에 당단백질이 축적되어 모세혈관과 같은 작은 혈관들을 두꺼워지게 하는 것이 특징이며, 이 과정에서 내이청각동맥(inner auditory artery)이 섬유화되어 두꺼워지거나 협착되어 청력손실을 유발한다고 한다. 또한 Rusk 등[7]이 rat을 대상으로 한 연구에서, 당뇨가 있는 집단이 통제군과 비교하여 와우 두 번째 턴의 4분의 1지점에서 외유모세포가 유의하게 손상된 것을 발견하였다.
돌발성 난청의 치료에는 스테로이드제, 혈액순환 개선제, 혈관확장제, 항바이러스제, 이뇨제, 저염식이 등이 사용된다. 주로 혈류개선 및 항염증작용을 목적으로 하는 치료 방법들이 이용되고 있고 정확한 병인을 알기 어렵기 때문에 단독보다는 2~3개 이상의 병용요법으로 이용되고 있다[12]. 스테로이드제는 협착된 혈관을 확장시키고 말초혈관의 저항을 감소시켜 혈류가 촉진되고, 심박출량이 증가되면 항염증 작용과 고리형 아데노신 일인산(cyclic adenosine monophosphate, cAMP)의 지방분해 작용을 촉진시켜 바이러스 감염에 따른 내이손상을 막아 돌발성 난청의 회복에 기여하는 것으로 여겨진다[13]. 그러나 전신 스테로이드는 합병증이 생길 수 있어 고혈압, 당뇨 등 전신 스테로이드의 사용이 기저질환을 악화시킬 수 있거나 임신 중인 환자에서는 고실 내 스테로이드 주입술이 돌발성 난청의 다른 치료로 제시되기도 한다[14]. 항바이러스제는 herpes simplex, varicellar zoster와 같은 바이러스들의 성장과 발육을 억제하고 핵산합성정지 작용을 함으로써 증식을 억제하며, 이런 바이러스에 대한 치료는 스테로이드와 병용요법으로 상승효과를 기대할 수 있다[15]. PGE1은 수용체 자극을 통한 혈소판 응집방지, 세포보호, 그리고 혈관확장과 같은 여러가지 생물학적 작용을 가지고 있어 혈액순환 개선제 및 혈관확장제로 작용한다. 이런 PGE1의 효과는 돌발성 난청을 포함한 여러 질환에서 이미 유용한 치료약제로 사용 중이다[12].
본 연구에 포함된 환자들에서 돌발성 난청의 치료에 대한 청력역치의 회복은 모든 군에서 유의한 수준으로 호전이 있었다. 이는 돌발성 난청의 주 치료제인 스테로이드의 영향으로 인한 호전이라고 생각되어진다. 이에 보조적 치료제로써 lipo-PGE1의 효과를 알아보고자 기저질환에 따라 네 군으로 분류하고, lipo-PGE1의 사용 유무에 따라 평균 청력역치의 변화 정도를 비교 분석하였다. 그 결과, 기저질환이 없는 군에서는 lipo-PGE1을 투약한 환자들이 lipo-PGE1을 투약하지 않은 환자들에 비하여 청력 회복이 더 많이 되었고 통계적으로도 유의미한 호전을 보였지만, 고혈압 또는 당뇨병 중 하나 이상의 기저질환이 있는 경우 lipo-PGE1의 사용 유무에 따른 평균 청력역치 변화는 통계적으로 유의한 의미를 가지지 않았다. 주파수별 분석에서도 마찬가지로 고혈압과 당뇨가 모두 없는 A군에서는 lipo-PGE1을 투여한 환자들이 lipoPGE1을 투여하지 않은 환자들에 비하여 모든 주파수에서 통계적으로 유의한 청력 호전을 보였다. 하지만 고혈압이나 당뇨가 하나 이상이 있는 B, C, D군에서는 일부 주파수에서는 lipo-PGE1을 투여한 환자들이 lipo-PGE1을 투여하지 않은 환자들에 비하여 청력 호전이 있었으나 통계적인 유의성은 없었다. 이는 당뇨병 환자의 돌발성 난청에서 lipo-PGE1 투여군이 유의한 청력 회복률을 보였고 lipo-PGE1이 당뇨와 같은 미세순환장애를 가진 돌발성 난청에서 보다 효과적일 것이라고 보고한 Ahn 등[16,17]의 연구 결과와는 일치하지 않았으며, 이러한 데에는 200명 이상의 환자가 포함된 A군에 비해 B, C, D군은 환자의 수가 적은 것과, 기저질환이 있는 환자들에서의 평균 연령 및 치료 전 평균 청력역치가 기저질환이 없는 환자들에 비해 높았던 것이 관련이 있을 것으로 생각된다.
PGE1의 수용체는 혈관 내피의 평활근 세포막에 있다. PGE1이 이 수용체에 결합하면 G-protein이 아데닐산고리화효소를 활성시켜 cAMP를 생성한다. cAMP가 혈관 평활근세포를 이완시키면 인산화효소 A(kinase A)가 활성화되고 세포 내 칼슘 농도를 감소시킨다[18]. 또한 PGE1은 혈소판 응집을 억제하는 역할을 한다. 혈소판 자체의 PGE1 수용체에 의해 생성된 cAMP는 혈소판 내의 칼슘 이온을 감소시켜 혈소판 응집을 완화시키고, 염소 이온 분비 채널을 활성화하여 염소 이온을 분비한다. 염소 이온의 분비는 이온 펌프를 통해 나트륨 이온 및 칼륨 이온의 방출을 유도하여 혈소판의 양을 감소시키는 역할을 한다[19]. 또한 혈관확장제로서 혈류를 증가시켜 혈관경련수축이나 심장병을 증가시키기도 하지만 와우 내 혈류의 증가로 산소공급을 원활하게 하기도 한다. Nishimura 등[20]은 PGE1을 사용하였을 때 혈압이 떨어짐에도 불구하고 와우 내 혈류는 그대로 유지된다고 하였다. 하지만 가장 흔한 혈관 질환인 고혈압은 심장과 혈관의 구조적 변화를 야기하며[5], 이로 인해 모세혈관의 혈류량이 감소하고 산소 운반량이 감소하여 세포 조직의 저산소증을 유발하고 청력손실이 발생한다는 점[21], 당뇨병 환자의 측두골에서는 내이의 세포벽이 두꺼워져있고 내이 구조도 미세하지만 변화가 발생한다는 점[22]을 고려하면 이러한 구조적 변화들로 인해 고혈압과 당뇨의 기저질환이 있는 환자들에서 lipo-PGE1의 작용이 방해를 받아 기저질환이 없는 돌발성 난청 환자에 비해 청력 회복에 영향을 미치지 못했다고 사료된다. 또한 Ogawa 등[23]은 57명의 돌발성 난청 환자에서 PGE1의 효과를 확인하기 위하여 이중맹검 임상시험을 시행하였으며, PGE1을 투약한 돌발성 난청 환자군이 위약군에 비하여 유의한 청력 호전을 보이지는 않았지만, 심한 이명을 동반하였던 돌발성 난청 환자에서는 PGE1을 투약하였을 때 4 kHz와 8 kHz의 고주파수 청력이 유의하게 호전됨을 밝혀내면서 PGE1의 와우에서의 작용 기전이 아직 명확히 밝혀지지 않았기 때문에 향후 추가적인 연구들이 필요하다고 서술하였다.
본 연구의 경우 몇 가지 제한점을 가지고 있다. 첫째, 나이가 들어갈수록 고혈압과 청력손실 사이에 중요한 연관성이 있으며 고혈압으로 야기된 다양한 심혈관 질환의 문제들이 청력손실을 유발한다는 다른 연구결과에 비추어 볼 때[24], 고혈압의 발병 시기와 다른 심질환들이 있는지를 분석해야 했으나 본 연구에서는 고려하지 않았다. 둘째로는 각 군별로 치료 전 청력역치가 통계적인 유의성 없이 비슷하게 통제되는 것이 가장 좋으나 후향적 연구의 한계로 돌발성 난청의 치료 전 청력역치가 각 군별로 차이가 있었고, A군과 D군의 치료 전 청력역치의 차이는 통계적으로 유의하였다. 셋째, 본 연구는 환자들의 의무기록을 후향적으로 분석하였기 때문에 lipo-PGE1을 투여한 환자와 투여하지 않은 환자에서 다른 변수들을 완벽히 통제하지 못하였으며, 치료 당시 고혈압이나 당뇨의 조절 여부 또한 파악하기 어려웠다. 또한 모든 환자들에서 우선적으로 스테로이드 치료가 시행되었기 때문에 lipoPGE1만의 치료 효과를 분석하기에는 어려움이 있었다. 따라서 향후 전향적 연구를 통하여 연구 대상자가 잘 통제 분류된 보다 세밀한 추가 연구가 필요할 것이다.
결론적으로, 저자들은 돌발성 난청이 발생한 환자들에게 lipo-PGE1을 스테로이드와 함께 투여하였을 때, 고혈압과 당뇨가 있는 환자에서보다 기저질환이 없는 환자에서 유의하게 개선된 청력호전을 보고하며, 향후 lipo-PGE1이 와우 내에서 어떤 약리학적 작용을 하는지에 대한 추가 연구가 필요할 것으로 사료된다.
Fig. 1.Average hearing threshold of pre- and post-treatment in each group. Hearing threshold comparison according to treatment. No hypertension and diabetes mellitus (A), only hypertension (B), only diabetes mellitus (C), both hypertension and diabetes mellitus (D). *p<0.05. Fig. 2.Hearing threshold shift difference according to use of lipoprostaglandin E1. No hypertension and diabetes mellitus (A), only hypertension (B), only diabetes mellitus (C), both hypertension and diabetes mellitus (D). *p<0.05. Fig. 3.Comparison of hearing level between before and after treatment. Average hearing levels before and after treatment of Group A (A). Average hearing levels before and after treatment of Group B (B). Average hearing levels before and after treatment of Group C (C). Average hearing levels before and after treatment of Group D (D). Lipo-PGE1: lipo-prostaglandin E1. Fig. 4.Comparison of hearing gain after treatment. There was no significant difference in hearing gain according to use of lipo-prostaglandin E1 in each group except for group A. Hearing gains at each frequency of Group A (A). Hearing gains at each frequency of Group B (B). Hearing gains at each frequency of Group C (C). Hearing gains at each frequency of Group D (D). *p<0.05. Table 1.Clinical characteristics of sudden sensorineural hearing loss patients Table 2.Clinical characteristics of participants according to lipo-PGE1 usage REFERENCES1. Kuhn M, Heman-Ackah SE, Shaikh JA, Roehm PC. Sudden sensorineural hearing loss: A review of diagnosis, treatment, and prognosis. Trends Amplif 2011;15(3):91-105.
2. Wilson WR, Byl FM, Laird N. The efficacy of steroids in the treatment of idiopathic sudden hearing loss. A double-blind clinical study. Arch Otolaryngol 1980;106(12):772-6.
3. Ballesteros F, Alobid I, Tassies D, Reverter JC, Scharf RE, Guilemany JM, et al. Is there an overlap between sudden neurosensorial hearing loss and cardiovascular risk factors? Audiol Neurootol 2009;14(3):139-45.
4. Shin DJ, Jung EK, Sung CM, Lee SS, Cho HH, Cho YB. Clinical characteristics and hearing results of sudden sensorineural hearing loss in child. Korean J Otorhinolaryngol-Head Neck Surg 2016;59(2):104-9.
5. Rarey KE, Ma YL, Gerhardt KJ, Fregly MJ, Garg LC, Rybak LP. Correlative evidence of hypertension and altered cochlear microhomeostasis: Electrophysiological changes in the spontaneously hypertensive rat. Hear Res 1996;102(1-2):63-9.
6. de Moraes Marchiori LL, de Almeida Rego Filho E, Matsuo T. Hypertension as a factor associated with hearing loss. Braz J Otorhinolaryngol 2006;72(4):533-40.
7. Rust KR, Prazma J, Triana RJ, Michaelis OE 4th, Pillsbury HC. Inner ear damage secondary to diabetes mellitus. II. Changes in aging SHR/N-cp rats. Arch Otolaryngol Head Neck Surg 1992;118(4):397-400.
8. Nagaoka J, Anjos MF, Takata TT, Chaim RM, Barros F, Penido Nde O. Idiopathic sudden sensorineural hearing loss: Evolution in the presence of hypertension, diabetes mellitus and dyslipidemias. Braz J Otorhinolaryngol 2010;76(3):363-9.
11. Makishima K, Tanaka K. Pathological changes of the inner ear and central auditory pathway in diabetics. Ann Otol Rhinol Laryngol 1971;80(2):218-28.
12. Kim MG. The study for combined therapeutic effects of lipoprostaglandin E1 with carbogen inhalation on sudden sensorineural hearing loss. Korean J Otorhinolaryngol-Head Neck Surg 2008;51(1):22-7.
13. Park SY, Jung CI, Jeon JH, Chun KD, Lee SY, Kim GT. The effect of combined antiviral agent therapy and stellate ganglion block for sudden sensorineural hearing loss and appropriate patients to evaluate the therapeutic effect. Korean J Otolaryngol-Head Neck Surg 2001;44(8):817-21.
14. Parnes LS, Sun AH, Freeman DJ. Corticosteroid pharmacokinetics in the inner ear fluids: An animal study followed by clinical application. Laryngoscope 1999;109(7 Pt 2):1-17.
15. Eun SJ, Yoon SK. The efficacy of stellate ganglion block in the treatment of idiopathic sudden sensorineural hearing loss. Korean J Otolaryngol-Head Neck Surg 1991;34(1):28-33.
16. Ahn JH, Kim MR, Kim HC. Therapeutic effect of lipoprostaglandin E1 on sudden hearing loss. Am J Otolaryngol 2005;26(4):245-8.
17. Ahn JH, Kim TY, Kim YJ, Han MW, Yoon TH, Lee KS, et al. Analysis of therapeutic effects of lipo-prostaglandin E1 for treatment of sudden sensorineural hearing loss in patients with type 2 diabetes. Korean J Otolaryngol-Head Neck Surg 2006;49(10):973-7.
19. Salganicoff L, Russo MA. An hypothesis on the consolidation and PGE1-induced deconsolidation of a platelet plug. Platelets 2003;14(7-8):463-71.
20. Nishimura T, Nario K, Hosoi H. Effects of intravenous administration of prostaglandin E(1) and lipo-prostaglandin E(1) on cochlear blood flow in guinea pigs. Eur Arch Otorhinolaryngol 2002;259(5):253-6.
21. Bachor E, Selig YK, Jahnke K, Rettinger G, Karmody CS. Vascular variations of the inner ear. Acta Otolaryngol 2001;121(1):35-41.
22. Fukui M, Kitagawa Y, Nakamura N, Kadono M, Mogami S, Ohnishi M, et al. Idiopathic sudden hearing loss in patients with type 2 diabetes. Diabetes Res Clin Pract 2004;63(3):205-11.
|
|
||||||||||||||||||||||||||||||||||||||

![]() |
![]() |